gongjigongyi.com
与米乐m6网页版登录入口代表实时聊天。 工作时间:上午 9:00 - 下午 5:00(太平洋标准时间)。
致电我们
工作时间:上午9:00-下午5:00(太平洋标准时间)
下载
下载手册、产品技术资料、软件等:
反馈
频谱分析仪
RSA500A 系列便携式频谱分析仪技术资料

RSA500A系列USB频谱分析仪在坚固耐用、电池供电的仪器中提供了高性能便携式频谱分析功能。
功能和特点
- 9 kHz 至 3.0/7.5/13.6/18.0 GHz 频率范围覆盖了各种分析需求
- 40 MHz 采集带宽支持实时分析,捕获瞬态信号,进行矢量分析
- 高速全频宽扫描(70 GHz/秒),便于快速设置和发现
- 标准 GPS/GLONASS/北斗接收机,用于绘制地图
- 选配跟踪发生器,执行增益/损耗、天线和电缆测量
- DataVu-PC 软件能够在可变带宽中实现多台记录
- 满足 Mil-Std 28800 Class 2 环境、冲击和振动规范,适用于严酷的工作条件
- 内置电池,延长现场操作时间
- SignalVu-PC 软件提供了实时信号处理及 DPX® 频谱/三维频谱图,最大限度地缩短搜寻瞬态信号和干扰所需的时间
EMC/EMI 预认证和故障排除 - CISPR 检波器、预定义标准、限制线、轻松设置附件、环境捕获、故障分析和报告生成
- 100% 检测概率捕获持续时间最短 15 μs 的信号,保证您每次问题发生时一次就能看到问题
- 标配应用编程接口,用来开发自定义程序
应用
- 通用频谱分析
- 无线网络安装及维护
- 频谱监控
- 频谱管理
- 干扰搜寻
- EMI/EMC 一致性检查和故障排除
- 频谱操作
- 辐射危害 (RADHAZ) 测试
- 排放控制 (EMCON) 监控
- 信号智能 (SIGINT) 监控
RSA500 系列为您节省时间,助您马到成功
RSA500 系列提供了实时频谱分析功能,解决频谱管理人员、干扰搜寻人员和网络维护人员面临的问题,他们需要追踪查找困难的干扰源,维护 RF 网络,保留工作记录。系统核心是基于 USB 的射频频谱分析仪,它捕获 40 MHz 实时带宽,在严酷环境中实现优异的保真度。由于 70 dB 无杂散动态范围及高达 18.0 GHz 的频率范围,您可在测量结果中检查关心的所有信号,可信度颇高。USB 外形使您的手中不再负重,而代以轻便的 Windows平板电脑或笔记本电脑。您手里拿着的是轻便的 PC,而不是很重的频谱分析仪,您可以行动起来更快,电池续航时间更长,完成工作更迅速。
选配跟踪发生器可以测量增益/损耗,迅速测试滤波器、双工器和其他网元,您可以按需增加电缆和天线的 VSWR、回波损耗、故障测距、电缆损耗等测量。
SignalVu-PC 软件在现场提供丰富的分析功能
与 RSA500 配合工作的是一款强大的程序 — SignalVu-PC,这是米乐m6网页版登录入口传统频谱分析仪的基础。SignalVu-PC 提供了以前高性能电池操作解决方案中没有提供的深入分析功能。DPX® 频谱/三维频谱图的实时处理在电脑中进行,进一步降低了硬件的成本。需要编程接入仪器的客户既可以选择 SignalVu-PC 编程接口,也可以使用标配的应用编程接口 (API),其提供了一套丰富的命令和测量功能。免费 SignalVu-PC 程序的基本功能不可小觑。下面显示了基本版本测量。
RSA500A 与 SignalVu-PC 相结合,提供高级现场测量功能
由于 40 MHz 实时带宽,独特的 DPX® 频谱/频谱图显示干扰信号或未知信号发生的每个时点,支持的最短持续时间可达 15 μs。下图显示了 WLAN 传输(绿色和橙色),屏幕中重复出现的窄信号是蓝牙接入探头。频谱图(屏幕上方部分)在时间上把这些信号清楚地分开,显示任何信号碰撞。

通过无人值守的模板监测功能,可以方便地找到意外的信号。可以在 DPX® 频谱画面上创建一个模板,在每次违规时采取相应操作,包括停止采集、保存图片、保存采集或发送听得到的告警声。在下图中,模板中红色位置发生了模板违规,因此将保存屏幕图片。模板测试可以用于无人值守监测,在播放记录的信号时,可以在相同信号上测试不同的违规。

标配 SignalVu-PC 软件可以迅速简便地完成寻向和信号强度测量。在下图中,通过使用推荐的第三方 Alaris 智能天线,罗盘持续监测天线方向,同时信号强度监测仪执行测量,用声音表明信号强度。在与 SignalVu-PC 的 MAP 选项结合使用时,信号强度和方位角自动放在选择的地图上。

跟踪发生器(RSA500 的选项04) 通过SignalVu-PC控制。下面显示了 800 MHz 至 3 GHz 的带通滤波器。选项 SV60 增加了回路损耗、电缆损耗和远程故障。

SignalVu-PC 特定应用许可
SignalVu-PC 提供了大量的面向应用的选项,既可以安装在仪器上,也可以作为浮动许可在仪器之间迁移或附着在电脑上。应用包括:
- 通用调制分析(27 种调制类型,包括 16/32/64/256 QAM、QPSK、O-QPSK、GMSK、FSK、APSK)
- 使用 CISPR 峰值、准峰值和平均值检波器执行 EMC/EMI 分析
- 基本速率、低能耗和蓝牙 5 的 Bluetooth® 分析。部分支持增强型数据速率
- 对第 1 期和第 2 期信号进行 P25 分析
- 对 802.11a/b/g/j/p、802.11n、802.11ac 执行 WLAN 分析
- LTE™ FDD 和 TDD 基站 (eNB) 小区号和 RF 测量
- 5G 新空口 (NR) 上行链路/下行链路 RF 功率、功率动态、信号质量和辐射测量
- 绘图
- 脉冲分析
- AM/FM/PM/直接音频测量,包括 SINAD、THD
- 播放录制的文件,包括在所有域中进行全面分析
- 信号分类和勘测
完整详情和订货信息请参阅单独的 SignalVu-PC 数据表。下面显示了选定的应用。
EMC/EMI
可以使用仪器和 SignalVu-PC,简便地完成 EMI 预一致性测试和诊断测量。变送器、天线、前置放大器以及电缆的增益/损耗可以在校正文件中输入并存储,可以使用 SignalVu-PC 的标准杂散测量功能为您的测试确定限制线。下图显示了 30MHz ~ 960 MHz 测试,其中阴影部分是 FCC Part 15 Class A 极限。蓝色谱线是捕获的环境特点。违规记录在图下的结果表中。可以通过选项 SVQP 增加 CISPR 准峰值和平均值检测器。
可以通过选项 EMCVU 增加 EMC 预一致性测试解决方案。此选项支持许多预定义的限制线。它还新增了一个向导,用于轻松一键设置建议的天线、LISN 和其他 EMC 附件。在使用新 EMC-EMI 显示时,您只能在出现故障时使用耗时的准峰值以便加快测试。此显示也提供一键环境测量。检查工具用于在本地测量感兴趣的频率,无需扫描。

蓝牙
增加了两个新选项,帮助您在时域、频域和调制域中进行基于 Bluetooth SIG 标准的发射机 RF 测量。选项 SV27 支持 RF.TS.4.2.0 和 RF-PHY.TS.4.2.0 测试规范规定的“基本速率”和“低能耗”发射机测量。它还解调并提供增强数据速率数据包的符号信息。选件 SV31 支持蓝牙 5 标准(LE 1M、LE 2M、已编码 LE)和核心规范中规定的测量。这两个选件也解码所传输的物理层数据并使用颜色编码符号表中的数据包字段以便清晰标识。

提供了测试通过/失败结果,支持量身定制的极限。下面的测量显示了方差相对于时间关系、频率偏置和漂移、测量摘要及测试通过/失败结果。

APCO 25
SignalVu-PC 应用程序 SV26 支持通过 APCO P25 信号迅速执行基于标准的发射机状况检查。下图显示了使用三维频谱图监测第二期HCPM信号中的异常事件,同时根据TIA-102标准规范执行发射机功率、调制和频率测量。

LTE
应用 SV28 实现了下述 LTE 基站发射机测量:
- 小区 ID
- 通道功率
- 占用带宽
- 邻道泄漏比 (ACLR)
- 频谱辐射模板 (SEM)
- TDD 发射机关闭功率
- 基准信号 (RS) 功率
测量满足 3GPP TS 第 12.5 版中的定义,支持所有基站类别,包括微微小区和毫微微小区。报告通过/失败信息,支持所有通道带宽。
小区号预置在星座图中显示一级同步信号 (PSS) 和二级同步信号 (SSS)。它还提供了频率误差。
下图显示频谱监测,其中频谱图与小区 ID/星座图、频谱辐射模板和 ACLR 测量结合起来显示。

5G NR 调制分析和测量选项
5G NR 是 矢量信号分析 (VSA) 软件支持的一组不断扩充的信号标准、应用和调制类型。 VSA 5G NR 分析选项提供基于 3GPP 的 5G NR 规范的信号频域、时域和调制域的全面分析能力。
通过配置频谱结果轨迹、采集时间和 NR 特定调制质量(例如 EVM、频率误差、I/Q 误差)轨迹和表格,工程师可以识别总体信号特征,并查明和解决间歇性误差峰值或重复出现的同步故障。
误差矢量幅度 (EVM) 是用于描述信号质量的品质因数。它通过测量给定符号的理想星座点与实际测量点之间的 I/Q 平面差异来实现此目的。它可以理想子符号的 dB 或 % 为单位进行测量,归一化为接收的平均 QAM 功率,并显示符号与理想符号关系的星座图。EVM 与符号的关系或 EVM 与时间的关系给出了所考虑的符号数量中或时隙中存在的 OFDM 符号的 EVM。
对于自动化测试,SCPI 远程接口可用于加快设计速度,从而能够快速过渡到设计验证和制造阶段。

5G NR 发射器测量核心支持的功能
5G NR 选项(5GNRNL-SVPC)支持 5G NR 调制分析测量,符合 3GPP TS38 规范版本 15 和 16 的要求,包括:
- 分析上行链路和下行链路帧结构
- 5G NR 测量和显示包括
- 调制精度 (ModAcc)
- 通道功率 (CHP)
- 相邻通道功率 (ACP)
- 频谱辐射模板 (SEM)
- 占用带宽 (OBW)
- 功率与时间的关系 (PVT)1
- 误差矢量幅度(EVM)
- 摘要表,含 ModAcc、SEM、CHP、ACP、OBW、PVT 和 EVM 测量的所有标量结果
- 通过跨域的耦合测量进行深度分析和故障排除,使用多个制造商关联结果,以查找根本原因。
- 以 CSV 格式保存报告,包括配置参数和测量结果
- 为每个组成载波提供 PDSCH 或 PUSCH 的可配置参数
- 对于下行链路,支持符合 3GPP 规范、适用于 FDD 和 TDD 的测试模型
绘图
SignalVu-PC MAP应用实现了干扰搜寻和位置分析功能。使用方位角功能确定干扰位置,通过在绘制的测量地图上画线或画箭头来指明方向,或者使用推荐的 Alaris 智能天线自动放置方位角。

信号勘测/分类
应用 SV54 提供专家系统指引,协助用户对信号分类。您可以迅速创建关心的区域,用户可以高效地识别并对信号分类。当叠加在轨迹顶部时,频谱曲线模板提供了信号形状指引,同时显示频率、带宽和通道编号,可以快速进行分类。可以迅速简便地对 WLAN、GSM、W-CDMA、CDMA、蓝牙标准和增强数据速率、LTE FDD 和 TDD 及 ATSC 信号进行分类。可以从 H500/RSA2500 信号数据库中导入数据库,轻松转换为新的软件库。
典型的信号勘测如下所示。勘测是电视广播频段的一部分,7 个区域被声明为允许 (Permitted)、未知 (Unknown) 或未授权 (Unauthorized),每个区域分别用色条指明。在细节图中,我们已经选择了单个区域,由于我们声称这是一个 ATSC 视频信号,因此 ATSC 信号的频谱模板叠加在区域中。信号与频谱模板匹配度非常高,包括信号下方的残留载波、ATSC 广播的特点。


回波损耗/VSWR, 故障测距, 电缆损耗
轻松执行维护和调试任务。在配备选项 04 跟踪发生器时,带有应用许可 SV60xx-SVPC 的 RSA500A 可以在电缆、器件和天线上进行单端口测量。


播放
应用 SV56 播放记录信号,可以把观察和等待几小时确定频谱违规的时间缩短到几分钟,您可以在桌面上复核记录的数据。
记录长度只受存储介质容量限制,记录功能是 SignalVu-PC 中包括的基本功能。SignalVu-PC 应用 SV56(播放)可以全面分析所有 SignalVu-PC 测量数据,包括 DPX 频谱图。播放过程中保持最短信号时长指标。可以执行 AM/FM 音调解调。提供了可变频宽、解析带宽、分析长度和带宽。可以在记录的信号上执行频率模板测试,支持最高40 MHz频宽,模板违规操作包括蜂鸣、停止操作、保存轨迹、保存图像、保存数据。可以选择并循环播放的各个部分,重复考察关心的信号。播放可以是无隙的,也可以插入时隙,缩短复核时间。
记录的时钟时间在三维频谱图标记中显示,与真实世界事件相关。在下图中,正在重播 FM 频段,使用了一个模板来检测频谱违规情况,同时侦听 92.3 MHz 中心频率处的 FM 信号。

DataVu-PC 多仪器记录和分析软件,支持大型记录
DataVu-PC 软件可以使用独立设置同时控制两台频谱分析仪。您可以监测宽频宽,同时在仪器范围内任何频率上以最高 40 MHz 带宽记录数据。一旦记录完毕, DataVu-PC 可以根据幅度和频率模板特点查找和标记关注的信号,而不需要手动检查长记录。在最多 2,000,000 个脉冲上提供脉冲测量。
USB 频谱分析仪使用的控制器
在现场操作中,完整解决方案需使用一台 Windows 平板电脑或笔记本电脑,用于运行仪器、保留记录及进行通信。米乐m6网页版登录入口推荐使用 Panasonic FZ-G1 平板电脑(作为单独设备提供),以用于控制 RSA500 系列。

Panasonic FZ-G1 平板电脑单独出售,可从 Panasonic(网址为 https://na.panasonic.com/us/computers-tablets-handhelds/tablets/tablets/toughbook-g1)和各种第三方供应商处购买。米乐m6网页版登录入口推荐使用 FZ-G1,因为 FZ-G1 相比于其他平板电脑具有更高的性能、便携性和坚固的外形,并且经过测试可与所有 USB RSA 产品配合使用。
主要指标,仪器控制器
- Windows 10 Pro 64 位操作系统
- Intel(R) CoreTM i5-6300U vProTM 2.4-3.0 GHz 处理器
- 8GB RAM
- 256 GB 固态硬盘
- 10.1" (25.6 cm) 日光下可读屏幕
- 10 点多触点 + 模数转换器屏幕加标配输入笔界面
- USB 3.0 + HDMI 端口,第二个 USB 端口
- Wi-Fi,Bluetooth® 和 4G LTE 多载波移动宽带,支持卫星 GPS
- 经过 MIL-STD-810G 认证(4' 跌落、冲击、振动、雨水、尘土、沙粒、高度、冷冻/解冻、高温/低温、温度骤变、湿度、易爆气体)
- 经过 IP65 认证的密封全天候设计
- 集成麦克风
- 集成扬声器
- 屏幕上和按钮式音量和静音控制
- 集成备用电池,支持热插拔蓄电池
- 3 年保修,带有商业级支持(由 Panasonic 在本地区提供)
用于搜寻干扰的智能天线
米乐m6网页版登录入口推荐 Alaris 智能天线 (DF-A0047),其内置 USB 罗盘,支持寻向和干扰搜寻应用。有关天线的详细信息,请访问 Alaris 的网站 www.alarisantennas.com/products/df-a0047-handheld-wideband-direction-finding-antenna/。下面汇总了其功能和技术数据。
- 频率范围:20 MHz – 8.5 GHz
- 提供 9 kHz-20 MHz 扩展频率(0.3m 环形天线),请联系 Alaris。
- 触发控制,支持单手操作及下述功能:
- 前置放大器开/关
- 频段开关
- 标准扶手延伸装置,在长时间搜寻干扰操作中非常舒适
- 提供装运箱




技术规格
除另行指明外,所有技术数据都是有保障的数据。除另行说明外,所有技术规范适用于所有型号。
频率
- 频率范围
- RSA503A
- 9 kHz ~ 3 GHz
- RSA507A
- 9 kHz ~ 7.5 GHz
- RSA513A
9 kHz ~ 13.6 GHz
- RSA518A
9 kHz ~ 18.0 GHz
- 频率标记读数精度
±(RE × MF + 0.001 × 频宽) Hz
RE: 基准频率误差
MF: 标记频率 [Hz]
- 基准频率精度
- 校准时初始精度 (预热 30 分钟)
- ±1 x 10-6
- 第一年老化, 典型值
- ±1 x 10-6 (1年)
- 累积误差(初始精度 + 温度 + 老化), 典型值
- 3 x 10-6 (1年)
- 温度漂移
- ±0.9 x 10-6(-10 至 60 °C)
- 外部参考输入
- BNC 连接器, 50 Ω 标称值
- 外部基准输入频率
- 1 ~ 20 MHz每1 MHz,外加: 1.2288 MHz, 2.048 MHz, 2.4576 MHz, 4.8 MHz, 4.9152 MHz, 9.8304 MHz, 13 MHz和19.6608 MHz.
- 输入信号上的杂散电平在100 kHz偏置范围内必须低于-80 dBc,以避免屏幕上的杂散信号。
- 外部基准输入范围
- ± 5 ppm
- 外部基准输入电平
- -10 至 +10 dBm
GNSS
- 锁定到 GNSS 时的精度2
- ±0.025 ppm3
- GNSS 天线断开时的 GNSS 培训精度 2,4
- ±0.025 ppm5
±0.08 ppm6
RF 输入
- RF 输入阻抗
- 50 Ω
- RF VSWR(RF 衰减 = 20 dB),典型值
< 1.2(10 MHz 至 3 GHz)
< 1.5(>3 GHz 至 7.5 GHz)
<1.9(>7.5 GHz 至 18 GHz)
- RF VSWR 预放开, RSA503A和RSA507A, 典型值
< 1.5(10 MHz 至 6 GHz,RF 衰减 = 10 dB,前置放大器开)
< 1.7(>6 GHz 至 7.5 GHz,RF 衰减 = 10 dB,前置放大器开)
< 1.9(>7.5 GHz 至 18 GHz,RF 衰减 = 10 dB,前置放大器开)
- 最大 RF 输入电平
- 最大 DC 电压
- ±40 V(RF 输入)
- 最大安全输入功率
+33 dBm(RF 输入,10 MHz 至 18.0 GHz,RF 衰减 ≥ 20 dB)
+13 dBm(RF 输入,9 kHz 至 10 MHz,RF 衰减 ≥ 20 dB)
+20 dBm(RF 输入,RF 衰减 < 20 dB)
- 最大安全输入功率(前置放大器开)
+33 dBm(RF 输入,10 MHz 至 18.0 GHz,RF 衰减 ≥ 20 dB)
+13 dBm(RF 输入,9 kHz 至 10 MHz,RF 衰减 ≥ 20 dB)
+20 dBm(RF 输入,RF 衰减 < 20 dB)
- 最大可测量输入功率
+30 dBm(RF 输入,≥10 MHz 至 Fmax,RF ATT 自动)
+20 dBm(RF 输入,<10 MHz,RF ATT 自动)
- 输入RF衰减器
- 0 dB ~ 51 dB (1 dB步进)
- 扫描速度
- 全频宽扫描速度,典型平均值 7
70 GHz/sec (RBW = 1 MHz)
60 GHz/sec (RBW = 100 kHz)
15.7 GHz/sec (RBW = 10 kHz)
1.7 GHz/sec (RBW = 1 kHz)
- 通过 API 调节阶跃时间
- ≤1 ms
幅度和RF
- 幅度和 RF 平坦度
- 参考电平设置范围
- -170 dBm 至 +40 dBm,0.1 dB 步长(标准 RF 输入)
- 18 ℃ 至 28 ℃ 下的频率响应(在 10 dB RF 衰减器设置下)
所有中心频率处的幅度精度 中心频率范围
18 ⁰C 至 28 ⁰C
9 kHz ≤ 3.0 GHz ±0.8 dB > 3 GHz – 7.5 GHz (RSA507A) ±1.5 dB >7.5 GHz 至 13.6 GHz (RSA513A/RSA518A) ±1.55 dB >13.6 GHz 至 18.0 GHz (RSA518A) ±1.55 dB - 所有中心频率时的幅度精度 - 前置放大器开(18 ℃ 至 28 ℃,10 dB RF 衰减器)
中心频率范围 18 ⁰C 至 28 ⁰C
200 kHz 至 ≤3.0 GHz ±1.0 dB > 3 GHz 至 7.5 GHz ±1.75 dB >7.5 GHz 至 13.6 GHz ±2.0 dB >13.6 GHz 至 18.0 GHz ±2.0 dB - 前置放大器增益
27 dB,2 GHz
21 dB @ 6 GHz (RSA507A)
25 dB @ 10 GHz (RSA513A)
25 dB @ 15 GHz (RSA518A)
- 通道响应(幅度和相位偏差),典型值
- 对于这些规格,请使用适用于最大 CW 幅度检验精度的平顶窗口,其中 RF 衰减器设置为 10 dB。
特性 描述 测量中心频率
频宽 幅度平坦度,典型值
幅度平坦度,RMS,典型值
相位线性度,RMS,典型值
9 kHz ~ 40 MHz
≤40 MHz 8 ±1.0 dB 0.60 dB >40 MHz 至 4.0 GHz
≤20 MHz ±0.10 dB 0.08 dB 0.3° >4 GHz 至 7.5 GHz
≤20 MHz ±0.35 dB 0.20 dB 0.7° >7.5 GHz 至 13.6 GHz ≤20 MHz ±0.35 dB 0.20 dB 0.7° >13.6 GHz 至 18.0 GHz ≤20 MHz ±0.35 dB 0.20 dB 0.7° >40 MHz 至 4 GHz
≤40 MHz ±0.35 dB 0.14 dB 0.8° >4 GHz 至 7.5 GHz
≤40 MHz ±0.40 dB 0.20 dB 1.0° >7.5 GHz 至 13.6 GHz ≤40 MHz ±0.60 dB 0.40 dB 1.5° >13.6 GHz 至 18.0 GHz ≤40 MHz ±0.60 dB 0.40 dB 1.5°
触发(T)
- 触发/同步输入, 典型值
电压范围: TTL, 0.0 V ~ 5.0 V
触发电平(Schmitt触发):
正向阈值电压: 最小1.6 V, 最大2.1 V
负向阈值电压: 最小1.0 V, 最大1.35 V
阻抗:10 k欧姆, 使用肖特基钳0 V, +3.4 V
- 外部触发定时不确定度
>20 MHz 至 40 MHz 采集带宽: ±250 ns
不确定度随着采集带宽下降而提高。
- 功率触发
- 功率触发, 典型值
范围: 距基准电平0 dB ~ -50 dB, 触发电平高于噪底> 30 dB。
类型:上升沿或下降沿
触发重新准备时间: ≤ 100 μs
- 功率触发位置定时不确定度
>20 MHz 至 40 MHz 采集带宽: ±250 ns
不确定度随着采集带宽下降而提高。
- 功率触发电平精度
±1.5 dB, CW信号, 调谐中心频率, 触发电平高于噪底> 30 dB。
这个指标外加SA模式的整体幅度精度不确定度。
噪声和失真
- 三阶互调截获 (TOI)
+14 dBm @ 2.130 GHz
- 三阶互调截获 (TOI),
- 前置放大器关,典型值
+17 dBm(9 kHz 至 25 MHz)
+15 dBm(25 MHz 至 3 GHz)
+15 dBm(3 GHz 至 4 GHz,RSA507A)
+10 dBm(4 Ghz 至 7.5 GHz,RSA507A)
+15 dBm(7.5 GHz 至最大载频,RSA513A/RSA518A)
- 前置放大器开,典型值
-20 dBm(9 kHz 至 25 MHz)
-15 dBm(25 MHz 至 3 GHz)
-15 dBm(3 GHz 至 4 GHz,RSA507A)
-20 dBm(4 GHz 至 7.5 GHz,RSA507A)
-15 dBm(7.5 GHz 至最大载频,RSA513A/RSA518A)
- 三阶互调制失真
-78 dBc @ 2.130 GHz
RF 输入上每个信号电平 -25 dBm。2 MHz 音调隔离。衰减器 = 0,基准电平 = -20 dBm。
- 三阶互调制失真
- 前置放大器关,典型值
< -70 dBc(10 kHz 至 25 MHz)
< -80 dBc(25 MHz 至 3 GHz)
< -80 dBc(3 GHz 至 4 GHz,RSA507A)
< -70 dBc(4 GHz 至 7.5 GHz,RSA507A)
< -80 dBc(7.5 GHz 至最大 CF,RSA513A/RSA518A)
RF 输入上每个信号电平 -25 dBm。2 MHz 音调隔离。衰减器 = 0,基准电平 = -20 dBm。
- 前置放大器开,典型值
< -70 dBc(9 kHz 至 25 MHz)
< -80 dBc(25 MHz 至 3 GHz)
< -80 dBc(3 GHz 至 4 GHz,RSA507A)
< -70 dBc(4 GHz 至 7.5GHz,RSA507A)
< -80 dBc(7.5 GHz 至最大 CF,RSA513A/RSA518A)
RF 输入上每个信号电平 -55 dBm。2 MHz 音调隔离。衰减器 = 0,基准电平 = -50 dBm。
- 二阶谐波失真,典型值
- 二阶谐波失真
< -75 dBc(40 MHz 至 1.5 GHz)
< -75 dBc(1.5 GHz 至 3.75 GHz,RSA507A)
<-75 dBc(3.75 GHz 至 6.8 GHz,RSA513A)
<-75 dBc(6.8 GHz 至 9 GHz,RSA518A)
- 二阶谐波失真,前置放大器开
< - 60 dBc(40 MHz 至 15.9 GHz),输入频率
- 二阶谐波失真截获 (SHI)
+35 dBm(40 MHz 至 1.5 GHz)
+35 dBm(1.5 GHz 至 9 GHz)
- 二阶谐波失真截获 (SHI),前置放大器开
+5 dBm(40 MHz 至 15.9 GHz),输入频率
- 显示的平均噪声电平 (DANL)
(归一化到 1 Hz RBW,使用对数平均检测器)
对于 RSA503A 和 RSA507A:
频率范围 前置放大器开 前置放大器开,典型值 前置放大器关,典型值 500 kHz 至 1 MHz -138 dBm/Hz -145 dBm/Hz -130 dBm/Hz 1 MHz 至 25 MHz -153 dBm/Hz -158 dBm/Hz -130 dBm/Hz >25 MHz 至 1 GHz -161 dBm/Hz -164 dBm/Hz -141 dBm/Hz >1 GHz 至 2 GHz -159 dBm/Hz -162 dBm/Hz -141 dBm/Hz >2 GHz 至 3 GHz -156 dBm/Hz -159 dBm/Hz -138 dBm/Hz >3 Ghz 至 4 GHz,RSA507A
-153 dBm/Hz
-156 dBm/Hz
-138 dBm/Hz >4 Ghz 至 6 GHz,RSA507A
-159 dBm/Hz -162 dBm/Hz -147 dBm/Hz >6 GHz 至 7.5 GHz,RSA507A
-155 dBm/Hz -158 dBm/Hz -145 dBm/Hz 对于 RSA513A 和 RSA518A:
频率范围 前置放大器开 前置放大器开,典型值 500 kHz 至 1 MHz -138 dBm/Hz -145 dBm/Hz 1 MHz 至 25 MHz -153 dBm/Hz -158 dBm/Hz >25 MHz 至 1 GHz -158 dBm/Hz -161 dBm/Hz >1 GHz 至 2 GHz -156 dBm/Hz -159 dBm/Hz >2 GHz 至 2.75 GHz -153 dBm/Hz -157 dBm/Hz >2.75 GHz 至 4 GHz -149 dBm/Hz -152 dBm/Hz >4 GHz 至 6 GHz -155 dBm/Hz -159 dBm/Hz >6 GHz 至 7.5 GHz -151 dBm/Hz -155 dBm/Hz >7.5 GHz 至 14 GHz -161 dBm/Hz -165 dBm/Hz >14 GHz 至 14.8 GHz -159 dBm/Hz -165 dBm/Hz >14.8 GHz 至 15.2 GHz -157 dBm/Hz -161 dBm/Hz >15.2 GHz 至 17.65 GHz -159 dBm/Hz -165 dBm/Hz >17.65 GHz 至 18.0 GHz -157 dBm/Hz -161 dBm/Hz
- 相位噪声
偏置 10 kHz 100 kHz 1 MHz 1 GHz CF -94 dBc/Hz -94 dBc/Hz -116 dBc/Hz 10 MHz,典型值(RSA503A,RSA507A) -120 dBc/Hz -124 dBc/Hz -124 dBc/Hz 1 GHz CF(典型值) -97 dBc/Hz -98 dBc/Hz -121 dBc/Hz 2 GHz CF(典型值) -96 dBc/Hz -97 dBc/Hz -120 dBc/Hz 6 GHz CF,典型值 (RSA507A)
-94 dBc/Hz -96 dBc/Hz -120 dBc/Hz 10 GHz,典型值(RSA513A,RSA518A) -89 dBc/Hz -90 dBc/Hz -113 dBc/Hz 15 GHz,典型值(RSA513A,RSA518A) -86 dBc/Hz -87 dBc/Hz -110 dBc/Hz
杂散响应
- 残余杂散响应(基准 = -30 dBm,RBW = 1 kHz)
<-75 dBm(500 kHz 至 60 MHz),典型值
< -85 dBm(>60 MHz 至 80 MHz),典型值
<-100 dBm(> 80 MHz 至最大 CF),典型值
(例外:<-90 dBm(13.78 GHz 至 13.94 GHz)
- 无杂散响应及信号(图像抑制)
< -65 dBc(适用于 RSA513/518A)(10 kHz 至 Max CF,参考 = -20 dBm,衰减 = 10 dB,RF 输入电平 = -20 dBm,RBW = 10 Hz)
< -63 dBc(适用于 RSA503A/507A)(10 kHz 至 Max CF,参考 = -20 dBm,衰减 = 10 dB,RF 输入电平 = -20 dBm,RBW = 10 Hz)
- 信号在 CF 时的杂散响应
- 偏移 ≥ 1 MHz
频率 频宽 ≤ 40 MHz,扫频频宽 40 MHz 1 MHz - 100 MHz -- –75 dBc 100 MHz - 3 GHz –72 dBc –75 dBc 3 GHz - 7.5 GHz (RSA507A) –72 dBc –75 dBc 7.5 GHz 至 13.6 GHz (RSA513A/RSA518A) –72 dBc –75 dBc 13.6 GHz - 18.0 GHz (RSA518A) –72 dBc –75 dBc
- 信号在 CF 时的杂散响应
(150 kHz ≤ 偏置 <1 MHz,频宽 = 2 MHz):
频率 典型值 1 MHz - 100 MHz –70 dBc 100 MHz - 3 GHz –70 dBc 3 GHz - 7.5 GHz (RSA507A) –70 dBc 7.5 GHz - 13.6 GHz (RSA513A/RSA518A) –64 dBc 13.6 GHz - 18.0 GHz (RSA518A) –64 dBc
- CF 之外的信号时的杂散响应,典型值
频率 频宽 ≤ 40 MHz,扫频频宽 40 MHz 1 MHz – 25 MHz(LF 频段) –73 dBc 25 MHz – 3 GHz –73 dBc 3 GHz – 7.5 GHz (RSA507A) –73 dBc 7.5 GHz - 13.6 GHz (RSA513A/RSA518A) –73 dBc 13.6 GHz - 18.0 GHz (RSA518A) –73 dBc
- 信号在 IF 一半时的杂散响应9
< -75 dBc,(CF:30 Mhz 至最大 CF,参考 = -20 dBm,衰减 = 10 dB,RBW = 10 Hz,跨宽 = 10 kHz)
信号频率 = 2310 MHz,RF 输入电平 = -20 dBm
- 本振馈通到输入连接器, 典型值
< -70 dBm, 预放关。
< -90 dBm, 预放开。
衰减器 = 10 dB。
采集
- IF带宽
- 40 MHz.
- A/D 转换器
- 14位, 112 Ms/s。
- Real-Time IF Acquisition Data
- 112 Ms/s, 16位整数样点。
ACLR
- ACLR(适用于 3GPP 下行链路),1 DPCH (2130 MHz)
- -57 dB(邻道)
- -68 dB,采用噪声校正功能时(邻道)
- -57 dB(第一条迂回通道)
- -69 dB,采用噪声校正功能时(第一条邻道)
- ACLR LTE
- -58 dB(邻道)
- -61 dB,采用噪声校正功能时(邻道)
- -61 dB(第一条迂回通道)
- -63 dB,经过噪声校正(第一条邻道)
GPS位置
- 格式
- GPS/GLONASS/北斗
- GPS 天线功率
- 3 V, 最大100 mA
- 第一次修复时间,最大值
- 锁定时间范围为 2 秒(热启动)到 46 秒(冷启动)。
- -130 dBm 输入信号功率。
- 水平位置精度
GPS: 2.6 m
Glonass: 2.6 m
北斗: 10.2 m
GPS + Glonass: 2.6 m
GPS + 北斗: 2.6 m
测试条件: 24小时静态, -130 dBm, 全部功率
跟踪发生器(选项 04)
- 跟踪发生器(选项 04)
- 频率范围
反射 9 kHz - 3.0 GHz (RSA503A) 9 kHz - 7.5 GHz (RSA507A/513A/518A)
传输 10 MHz - 3 GHz (RSA503) 10 MHz - 7.5 GHz (RSA507A/513A/518A)
- 扫描速度,典型中位数
- 每次扫描 0.192 秒,101 个点,50 kHz RBW,980 至 1020 MHz 扫描(每个点 1.9 ms)
使用搭载 i7 处理器和 Windows® 7 Pro 操作系统的 Dell Latitude E5540 测得。传输增益只在屏幕上显示为测量数据。
- 频率分辨率
- 100 Hz
- TG 输出连接器
- N 型
- VSWR
- < 1.9:1,10 MHz 至 7.5 GHz,-20 dBm 输出电平
- 最大输出功率
- -3 dBm,10 MHz 至 7.5 GHz
- 输出功率电平设置范围
- 40 dB,10 MHz 至 7.5 GHz
- 输出功率电平步长
- 1 dB,10 MHz 至 7.5 GHz
- 输出功率电平步长精度
- ± 0.5 dB
- 谐波
- < -22 dBc,≥20 MHz
- 非谐波杂散信号
- < -30 dBc;来自 TG 输出频率的杂散信号 < 2 GHz
- < -25 dBc;来自 TG 输出频率的杂散信号 ≥ 2 GHz
- 无损坏的反向功率
- 40 Vdc,+20 dBm RF
SignalVu-PC 标准测量和性能
- 标配测量。
通用信号分析 频谱分析仪 1 kHz 至 18.0 GHz 频宽 三条轨迹外加数学轨迹和频谱图轨迹
5 个标记,包括功率、相对功率、积分功率、功率密度和 dBc/Hz 功能
DPX 频谱/频谱图 实时显示频谱,在 40 MHz 频宽中以 100% 检测概率检测最长 15 μs 信号 幅度、频率、相位与时间的关系、RF I 和 Q 与时间的关系 基本矢量分析功能 时间概况/导航器 可以方便地设置采集和分析时间,在多个域中进行深入分析 频谱图 使用二维或三维瀑布图分析和再分析信号 AM/FM 收听 收听 FM 和 AM 信号,并记录到文件中 信号记录 以 .r3f 文件格式无隙记录 40 MHz 带宽,以便在所有域中进行重新分析,包括实时频谱分析(需要在 PC 控制器中安装选项 SV56 以进行回放) 模拟调制分析 AM、FM、PM 分析 测量关键 AM、FM、PM 参数 射频测量 杂散信号测量 用户自定义极限行和区域在整个仪器范围内提供了自动频谱违规测试功能。可以保存和调用四条谱线;CISPR 准峰值和平均值检测器可以与选项 SVQP 配合使用。 频谱辐射模板 用户自定义模板或特定标准模板 占用带宽 测量 99% 功率、-xdB 下降点 通道功率和 ACLR 可变通道和相邻/交替通道参数 MCPR 完善灵活的多通道功率测量 CCDF 互补累积分布函数,绘制信号电平统计变化图
SignalVu-PC/RSA507A 主要特点
- 最大频宽
- 40 MHz 实时
- 9 kHz - 3 GHz 扫描 (RSA503A)
- 9 kHz - 7.5 GHz 扫描 (RSA507A)
- 9 kHz - 13.6 GHz 扫描 (RSA513A)
- 9 kHz - 18.0 GHz 扫描 (RSA518A)
- 最长采集时间
- 2.0 s
SignalVu-PC 标准测量和性能
- 最小 IQ 分辨率
- 17.9 ns(采集带宽 = 40 MHz)
- 调谐
- 为下列标准提供了调谐表,其中用基于标准的通道方式表示频率选择。
- 蜂窝标准家族: AMPS、NADC、NMT-450、PDC、GSM、CDMA、CDMA-2000、1xEV-DO WCDMA、TDSCDMA、LTE、WiMax
- 无需牌照的短距离通信: 802.11a/b/j/g/p/n/ac, 蓝牙
- 无绳电话: DECT, PHS
- 广播:AM, FM, ATSC, DVBT/H, NTSC
- 移动无线电、寻呼机、其他: GMRS/FRS, iDEN, FLEX, P25, PWT, SMR, WiMax
- DPX 频谱显示
- 频谱处理速率(RBW = 自动,轨迹长度 801)
- ≤10,000 频谱/秒
- DPX 位图分辨率
- 201 像素垂直 x 801 像素水平
- DPX 频谱图最小时间分辨率10
- 1 ms
- 每秒 ≤ 10,000 个(与频宽无关)
- 标记信息
- 幅度、频率、信号密度
- 100% 检测概率 (POI) 最短信号持续时间,典型值 11
- 15μs 至 40 MHz 频宽
- 频宽范围(连续处理)
- 1 kHz 至 40 MHz
- 频宽范围(扫描)
- 直到仪器的最大频率范围
- 每步驻留时间
- 50 ms 至 100 s
- 轨迹处理
- 颜色等级位图、+峰值、-峰值、平均值
- 轨迹长度
- 801、2401、4001、10401
- RBW 范围
- 1 kHz 至 4.99 MHz
- DPX 频谱图显示
- 轨迹检测
- +峰值、-峰值、平均值 (VRMS)
- 轨迹长度、内存深度
- 801(60,000 条轨迹)
- 2401(20,000 条轨迹)
- 4001(12,000 条轨迹)
- 每条线的时间分辨率
- 1 ms 至 6400 s,用户可以选择
- 频谱和杂散信号显示
- 轨迹
- 三条谱线 + 1 条数学谱线 + 1 条三维频谱图谱线用于频谱显示;4 条谱线用于杂散信号显示
- 轨迹函数
- 正常、平均值 (VRMS)、最大保持、最小保持、对数平均
- 检波器
- 平均值 (VRMS), 平均值 (对数), CISPR 峰值, +峰值, 仅频谱样点 –峰值; 在启用选项 SVQP 时,CISPR 准峰值和平均值
- 频谱轨迹长度
- 801、2401、4001、8001、10401、16001、32001 和 64001 个点
- RBW 范围
- 1.18 Hz 至 8 MHz,用于频谱显示
- 模拟调制分析( 标配)
- AM 解调精度典型值
- ±2%
- 0 dBm 中心输入、载波频率 1 GHz、1 kHz/5 kHz 输入/调制频率、10% 至 60% 调制深度
- 0 dBm输入功率电平, 基准电平 = 10 dBm, Atten=Auto
- FM 解调精度,典型值
- ±1% 频宽
- 0 dBm 中心输入,载频 1 GHz,400 Hz/1 kHz 输入/调制频率
- 0 dBm输入功率电平, 基准电平 = 10 dBm, Atten=Auto
- PM 解调精度,典型值
- ±3% of 测量带宽
- 0 dBm中心输入, 载频 1 GHz, 1 kHz/5 kHz 输入/被调制频率
- 0 dBm输入功率电平, 基准电平 = 10 dBm, Atten=Auto
SignalVu-PC 应用性能摘要
- AM/FM/PM 和直接音频测量 (SVAxx-SVPC)
- 载波频率范围(用于调制和音频测量)
- (1/2 × 音频分析带宽)至最大输入频率
- 最大音频频宽
- 10 MHz
- FM 测量(调制指数 >0.1)
- 载波功率、载波频率误差、音频频率、偏差(+峰值、-峰值、峰-峰值/2、RMS)、SINAD、调制失真、信噪比、总谐波失真、总非谐波失真、嗡声和噪声
- AM 测量
- 载波功率、音频频率、调制深度(+峰值、-峰值、峰-峰值/2、RMS)、SINAD、调制失真、信噪比、总谐波失真、总非谐波失真、嗡声和噪声
- PM 测量
- 载波功率、载波频率误差、音频频率、偏差(+峰值、-峰值、峰-峰值/2、RMS)、SINAD、调制失真、信噪比、总谐波失真、总非谐波失真、嗡声和噪声
- 音频滤波器
- 低通, kHz: 0.3、3、15、30、80、300 及用户输入,最高 0.9 × 音频带宽
- 高通, Hz: 20、50、300、400 及用户输入,最高 0.9 × 音频带宽
- 标配:CCITT、C-Message
- 去加重(μs): 25、50、75、750 及用户输入
- 文件:用户提供的由成对幅度/频率组成的 .TXT 或 .CSV 文件。最多1000 对
性能特点,典型值 条件: 除另行指明外,性能:
调制率 = 5 kHz
AM 深度:50%
PM 偏差 0.628 弧度
FM AM PM 条件 载波功率精度 参阅仪器的幅度精度 载频精度 ± 0.5 Hz +(发射机频率 × 基准频率误差) 参阅仪器的频率精度 ± 0.2 Hz +(发射机频率 × 基准频率误差) FM偏差: 5 kHz /100 kHz 调制深度精度 不适用 ± 0.2%+(0.01 * 实测值) 无 速率: 5 kHz
厚:50%
偏差精度 ±(1% ×(速率 + 偏差)+ 50 Hz) 无 ± 100% *(0.01 +(实测速率/1 MHz)) FM偏差: 100 kHz 比率精度 ± 0.2 Hz ± 0.2 Hz ± 0.2 Hz FM偏差: 5 kHz / 100 kHz 残余 THD 0.10% 0.16% 0.1% FM偏差: 5 kHz / 100 kHz
速率: 1 kHz
残余 SINAD 43 dB 56 dB 40 dB FM 偏差 5 kHz
FM 偏差 100 kHz
速率: 1 kHz
- APCO P25 测量应用 (SV26xx-SVPC)
- 测量功能
- RF 输出功率、工作频率精度、调制辐射频谱、不想要的杂散辐射、邻道功率比、频率偏差、调制保真度、频率误差、眼图、符号表、符号速率精度、发射机功率和编码器攻击时间、发射机吞吐量延迟、频率偏差与时间的关系、功率与时间的关系、瞬态频率特点、HCPM 发射机逻辑通道峰值邻道功率比、HCPM 发射机逻辑通道时隙外功率、HCPM 发射机逻辑通道功率包络、HCPM 发射机逻辑通道时间对准、交叉相关标记
- 调制保真度,典型值
- C4FM ≤ 1.0%
- HCPM ≤ 0.5%
- HDQPSK ≤ 0.25%
- 输入信号电平是为获得最佳的调制保真度而优化的。
- 蓝牙测量应用(SV27xx-SVPC 和 SV31xx-SVPC)
- 支持的标准
- Bluetooth® 4.2 基本速率、Bluetooth® 4.2 低能耗、Bluetooth® 4.2 增强数据速率。Bluetooth® 5(在启用 SV31 时)。
- 测量功能
- 峰值功率、平均功率、邻道功率或段内辐射模板、-20 dB 带宽、频率误差、调制特点(包括 ΔF1avg (11110000)、ΔF2avg (10101010)、ΔF2 > 115 kHz、ΔF2/ΔF1 比)、频率偏差与时间的关系(含数据包和八位字节级测量信息)、载频 f0、频率偏置(前置码和净荷)、最大频率偏置、频率漂移 f1-f0、最大漂移速率 fn-f0 和 fn-fn-5、中心频率偏置表和频率漂移表、带色码的符号表、包头解码信息、眼图、星座图
- 输出功率(BR 和 LE),典型平均值
- 支持的测量:平均功率,峰值功率
- 电平不确定性:参阅仪器幅度和平坦度指标
- 测量范围:信号电平 > –70 dBm
- 调制特性,典型平均值
- 支持的测量:ΔF1avg、ΔF2avg、ΔF2avg/ΔF1avg、ΔF2max%>=115kHz(基本速率)、ΔF2max%>=115kHz(低能耗)
- 偏差范围:±280 kHz
- 偏差不确定性(在 0 dBm 时):
- < 2 kHz 12 + 仪器频率不确定度(基本速率)
- < 3 kHz 12 + 仪器频率不确定度(低能耗)
- 测量范围:标称通道频率±100 kHz
- 初始载波频率容限 (ICFT)(BR 和 LE),典型平均值
- 测量不确定度(0 dBm 时):<1 kHz 12 + 仪器频率不确定度
- 测量范围:标称通道频率±100 kHz
- 载波频率漂移(BR 和 LE),典型平均值
- 支持的测量:最大频率偏置,漂移 f1-f0,最大漂移 fn-f0,最大漂移 fn-fn-5(BR 和 LE 50 μs)
- 测量不确定度:<1 kHz + 仪器频率不确定度
- 测量范围:标称通道频率±100 kHz
- 带内辐射 (ACPR)(BR 和 LE)
- 电平不确定性:参阅仪器幅度和平坦度指标
- 通用数字调制分析 (SVMxx-SVPC)
- 调制格式
- BPSK、QPSK、8PSK、16QAM、32QAM、64QAM、128QAM、256QAM、π/2DBPSK、DQPSK、π/4DQPSK、D8PSK、D16PSK、SBPSK、OQPSK、SOQPSK、16-APSK、32-APSK、MSK、GFSK、CPM、2FSK、4FSK、8FSK、16FSK、C4FM
- 分析周期
- 最多 163,500 个采样点
- 滤波器滚降因数
- α:0.001 : 1,0.001 步长
- 矢量图显示格式
- 符号/轨迹显示、频率误差测量、原点偏置测量
- LTE 下行链路 RF 测量 (SV28xx-SVPC)
- 支持的标准
3GPP TS 36.141 第 12.5 版
- 支持的帧格式
FDD 和 TDD
- 支持的测量和显示
- 邻道泄漏比 (ACLR)、频谱辐射模板 (SEM)、信道功率、占用带宽、显示 TDD 信号发射机关机功率的功率随时间变化以及一级同步信号和二级同步信号的 LTE 星座图(带小区号、群号、段号、RS(参考信号)功率和频率误差)。
5G NR 上行链路/下行链路测量(5GNRNL-SVPC)
- 支持的标准
- TS 38.141-1(用于 BS)和 38.521-1(用于 UE)
- 调制精度
- Sec 6.5.2(用于 BS)和 Sec 6.4.2(用于 UE)。
- ACP
- Sec 6.6.3(用于 BS)和 Sec 6.5.2.4(用于 UE)
- 支持的帧格式
- 上行链路(FDD 和 TDD)
- 下行链路(FDD 和 TDD)
- 支持的测量和显示
- 通道功率 (CHP)、邻道功率 (ACP)、功率与时间的关系 (PVT)1、调制精度(包括误差矢量幅度 (EVM)、频率误差、IQ 误差)、EVM 与符号的关系、占用带宽 (OBW)、频谱辐射模板 (SEM)、星座图和带标量结果的摘要表。
- EVM(典型值)
20 MHz 1CC,256QAM UL,30 kHz 副载波间距 1 GHz 2 GHz 3.5 GHz 5 GHz 6 GHz 7 GHz 0.78% 0.93% 1.04% 0.87% 1.01% 1.05% 对于 RSA518 系列频谱分析仪:1 GHz 至 7 GHz 时 ≤ 39.2 dB rms EVM,用于 20 MHz CC1,256 QAM,-6 dBm 至 -33 dBm 通道功率,满刻度下小于 -1 dB。

- ACLR(典型值)
- 小于 7GHz 时 <-48 dBc,用于 20 MHz CC1,256 QAM,-6dBm 到 -27 dBm 通道功率,满刻度下小于 -1 dB
- 绘图 (MAPxx-SVPC)
- 支持的地图类型
- Pitney Bowes MapInfo (*.mif)、位图 (*.bmp)、Open Street Maps (.osm)
- 保存的测量结果
- 测量数据文件(导出的结果)
- 用于测量的地图文件
- Google Earth KMZ 文件
- 可以调用的结果文件(轨迹和设置文件)
- 兼容 MapInfo 的 MIF/MID 文件
脉冲测量 (SVPxx-SVPC)
- 测量(标称值)
- 多分段捕获的 Pulse-Ogram™ 瀑布图显示,其中包括各个脉冲的幅度与时间关系以及频谱。脉冲频率、Delta 频率、平均开点功率、峰值功率、平均发射功率、脉宽、上升时间、下降时间、重复间隔(秒)、重复间隔 (Hz)、占空比 (%)、占空比(比率)、纹波 (dB)、纹波 (%)、衰落 (dB)、衰落 (%)、过冲 (dB)、过冲 (%)、脉冲到参考脉冲频率差、脉冲到参考脉冲相位差、脉冲到脉冲频率差、脉冲到脉冲相位差、RMS 频率误差、最大频率误差、RMS 相位误差、最大相位误差、频率偏差、相位偏差、脉冲响应 (dB)、脉冲响应(时间)、时标。
- 最小检测脉宽,典型值
- 150 ns
- 平均开点功率,18 °C ~ 28 °C,典型值
- ±0.4 dB + 绝对幅度精度
- 脉冲宽 300 ns 或以上、占空比 .5 至 .001,信噪比 ≥ 30 dB
- 占空比,典型值
- 读数的 ±0.2%
- 对于 450 ns 或更宽的脉冲,占空比为 0.5 至 0.001,信噪比 ≥ 30 dB
- 平均发射功率,典型值
- ±0.5 dB + 绝对幅度精度
- 脉冲宽 300 ns 或以上、占空比 .5 至 .001,信噪比 ≥ 30 dB
- 峰值脉冲功率,典型值
- ±1.2 dB + 绝对幅度精度
- 脉冲宽 300 ns 或以上、占空比 .5 至 .001,信噪比 ≥ 30 dB
- 脉宽,典型值
- 读数的 ±0.25%
- 对于 450 ns 或更宽的脉冲,占空比为 0.5 至 0.001,信噪比 ≥ 30 dB
- 播放录制的信号 (SV56)
- 播放文件类型
- RSA306、RSA500 或 RSA600 记录的 R3F
- 记录的文件带宽
- 40 MHz
- 文件播放控制
- 通用:播放、停止、退出播放
- 地点:播放开始点/结束点可以设置为 0-100%
- 跳跃:规定的跳跃长度为 73 μs 到文件大小的 99%
- 实时速率:按记录时间 1:1 比率播放
- 循环控制:播放一次,或连续循环
- 内存要求
- 记录信号要求存储器支持300 MB/s的写入速率。以实时速率播放记录的文件要求存储器支持300 MB/s的读取速率。
- WLAN 测量, 802.11a/b/g/j/p (SV23xx-SVPC)
- 测量功能
- WLAN 功率与时间的关系;WLAN 符号表;WLAN 星座图;频谱辐射模板;误差矢量幅度 (EVM) 与符号(或时间)的关系、与副载波(或频率)的关系;幅度误差与符号(或时间)的关系、与副载波(或频率)的关系;相位误差与符号(或时间)的关系、与副载波(或频率)的关系;通道频响与符号(或时间)的关系、与副载波(或频率)的关系;频谱平坦度与符号(或时间)的关系、与副载波(或频率)的关系
- 残余 EVM - 802.11a/g/j /p (OFDM),64-QAM,典型值
- 2.4 GHz, 20 MHz带宽: -39 dB
- 5.8 GHz, 20 MHz带宽: -38 dB
- 输入信号电平为最佳EVM优化, 平均20个突发, ≥16个符号/突发
- 残余EVM - 802.11b, CCK-11, 典型值
- 2.4 GHz, 11 Mbps: 1.3 %
- 输入信号电平为最佳EVM优化, 平均1,000个码片, BT = .61
- WLAN 测量 802.11n (SV24xx-SVPC)
- 测量功能
- WLAN 功率与时间的关系;WLAN 符号表;WLAN 星座图;频谱辐射模板;误差矢量幅度 (EVM) 与符号(或时间)的关系、与副载波(或频率)的关系;幅度误差与符号(或时间)的关系、与副载波(或频率)的关系;相位误差与符号(或时间)的关系、与副载波(或频率)的关系;通道频响与符号(或时间)的关系、与副载波(或频率)的关系;频谱平坦度与符号(或时间)的关系、与副载波(或频率)的关系
- EVM 性能 - 802.11n,64-QAM,典型值
- 2.4 GHz, 40 MHz带宽: -39 dB
- 5.8 GHz, 40 MHz带宽: -38 dB
- 输入信号电平为最佳EVM优化, 平均20个突发, ≥16个符号/突发
- WLAN 测量 802.11ac (SV25xx-SVPC)
- 测量功能
- WLAN 功率与时间的关系;WLAN 符号表;WLAN 星座图;频谱辐射模板;误差矢量幅度 (EVM) 与符号(或时间)的关系、与副载波(或频率)的关系;幅度误差与符号(或时间)的关系、与副载波(或频率)的关系;相位误差与符号(或时间)的关系、与副载波(或频率)的关系;通道频响与符号(或时间)的关系、与副载波(或频率)的关系;频谱平坦度与符号(或时间)的关系、与副载波(或频率)的关系
- EVM 性能 - 802.11ac,256-QAM,典型值
- 5.8 GHz, 40 MHz带宽: -38 dB
- 输入信号电平为最佳EVM优化, 平均20个突发, ≥16个符号/突发
- EMC 预认证和故障排除 (EMCVUxx-SVPC)
- 标准
- EN55011、EN55012、EN55013、EN55014、EN55015、EN55025、EN55032、EN60601、DEF STAN、FCC 第 15 部分、FCC 第 18 部分、MIL-STD 461G
- 功能
- EMC-EMI 显示、附件和限制线设置向导、检查、谐波标记、电平目标、比较谱线、测量环境、报告生成、重新测量点
- 检波器
+峰值、平均值、平均值(对数)、平均值 (VRMS)、CISPR 准峰值、CISPR 峰值、CISPR 平均值、CISPR 对数平均值、MIL +峰值、DEF STAN 平均值、DEF STAN 峰值
- 限制线
- 最多 3 条限制线(带相应余量)
- 分辨率 BW
- 按照标准设置或由用户规定
- 驻留时间
- 按照标准设置或由用户规定
- 报告格式
- PDF、HTML、MHT、RTF、XLSX、图像文件格式
- 附件类型
- 天线、近场探头、电缆、放大器、限幅器、衰减器、滤波器等
- 校正格式
- 增益/损耗常数、增益/损耗表、天线因数
- 轨迹
- 保存/调出多达 5 条谱线、数学谱线(谱线 1 减去谱线 2)、环境谱线
- 回波损耗、故障测距和电缆损耗测量
- 测量功能
- 回波损耗、电缆损耗和故障测距 (DTF)
- 频率范围
- 10 MHz 至 3 GHz (RSA503A)
- 10 MHz 至 7.5 GHz (RSA507A/513A/518A)
- 扫描速度13
- 5 ms/点,回波损耗测量
- 5 ms/点,故障测距测量
- 5 ms/点,电缆损耗测量
- 频率分辨率
- 500 Hz
- 回波损耗测量误差
- 0 至 15 dB 回波损耗:±0.5 dB
- 15 至 25 dB 回波损耗:±1.5 dB
- 25 至 35 dB 回波损耗:±4.0 dB
- 14 dB 回波损耗时的回波损耗测量误差
- ±1.5 dB,10 Mhz 至 6.8 GHz
- ±3.0 dB,6.8 Ghz 至 7.5 GHz
- 回波损耗测量范围
- 50 dB
- 抗干扰能力
- 以下条件时回波损耗测量误差处于规格范围内:
- +5 dBm 干扰源功率,在测量点 800 kHz 范围内
- +5 dBm 干扰源功率,距测量点 800 kHz 以上
- (高功率测试电平。精度评估中不包括干扰源。)
- 故障测距范围
- 1500 m 或 15 dB 单向电缆损耗,用户定义
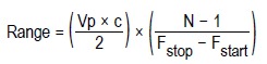
- 最大范围与电缆速度系数和频率步长的函数关系如下:

- 其中:
- Vp = 相对于光速的电缆速度系数
- c = 光速 (m/s)
- Fstart = 扫描开始频率 (Hz)
- Fstop = 扫描停止频率 (Hz)
- N = 扫描点数
- 故障测距分辨率
- RSA503A, (RG-58Vp=0.66):0.03 m(用户可定义)
- RSA507A, (RG-58Vp=0.66):0.01 m(用户可定义)
- 最小分辨率与电缆速度系数和频率步长的函数关系如下:

- 或

输入和输出端口
- 输入、输出和接口
- RF 输入
RSA503A/507A:N 型,孔式
RSA513A/518A:N 型,孔式(标配连接器)
RSA513A/518A:Planar Crown,50 Ω。用户可以选择此连接器而不是 N 型,以选择最适合其应用的连接器。(用户可以使用与最适合其应用 Planar Crown 兼容适配器。)
- 外部频率基准输入
- BNC 型,孔式
- 触发/同步输入
- BNC 型,孔式
- 跟踪发生器源输出
- N 型,孔式
- GPS 天线
- SMA 型,孔式
- USB 设备端口
- USB 3.0 – A 型
- USB 状态 LED
LED,红/绿双色
LED 状态:
红灯常亮:使用 USB 电源或复位
绿灯常亮:已初始化,可以使用
绿灯闪烁:把数据传送到主机
- 电池状态LED
LED,绿色
LED 状态:
绿灯闪烁:连接外部电源, 电池充电
熄灭 – 没有连接外部电源或电池已充满电
安装要求
- 最大功耗(全装上)
最大 15 W。90 V 线路最大电流是 0.2 A。
- 涌入电流
2 A peak最大值, 25 °C (77 °F)时, ≤ 5次开关机, 产品关闭至少30秒后。
- 散热间隙
底部, 顶部
25.4 毫米(1.0 英寸)
侧面
25.4 毫米(1.0 英寸)
后部:25.4 毫米(1.0 英寸)
- 外部DC 输入
- 电压
- 18 V
- 电压范围极限
工作时:+12.0 V ~ +19.95 V
电池充电时: +17.5 V ~ +19.95 V
- 连接器类型
2.5 毫米插头
中心导体: 正
外部导体: 副
- AC 适配器输出
18 V ± 5%, 5 A (最大90 W)
中心导体: 正
外部导体: 副
- 电池
- 标称电压
- 14.4 V
- 标称容量
- 6140 mAh
- 电池技术
- 锂智能电池,兼容SMBus接口。
- 电池工作时间
- 每块电池连续工作4小时
- 电池工作温度
- 工作时(放电)14:-10 °C 至 +45 °C(14 °F 至 113 °F)15
- 充电: 0 °C - 45 °C (32 °F - 113 °F)
- 电池贮存时间
- +20 °C (68 °F) 标称值时2年
- 充电间隔最大贮存时间: 10个月 @ +20 °C (68 °F)
- 物理特性
- 高度
- 67.3 毫米(2.65 英寸)
- 宽度
- 299.1 毫米(11.78 英寸)
- 深度
- 271.3 毫米(10.68 英寸)
- 净重
RSA503A/507A:2.54公斤(5.6磅),没有电池;2.99公斤(6.6磅),有电池
RSA513A/518A:3.40 公斤(7.5 磅),没有电池;3.85 公斤(8.5 磅),有电池
环境和安全
- 温度
- 没有安装电池时
工作状态:–10 °C 至 +55 °C(+14 °F 至 +131 °F)
非工作状态:-51 °C 至 +71 °C(-60 °F 至 +160 °F)
- 安装电池时
- 工作(放电)14 : –10 °C 至 +45 °C(+14 °F 至 +113 °F)15
充电: 0 °C 至 45 °C(32 °F 至 +113 °F)
- 湿度
- 没有安装电池时
MIL-PRF-28800F 2 类
工作状态:
+10 °C ~ 30 °C (+50 °F ~ 86 °F)温度范围内5% ~ 95±5%RH (相对湿度)
+30 °C ~ 40 °C (+86 °F ~ 104 °F)时5% ~ 75±5%相对湿度
+40 °C ~ +55 °C (+86 °F ~ +131 °F)时5% ~ 45±5%相对湿度
<10 °C (+50 °F)湿度不能控制,无冷凝
- 安装电池时
工作状态:
+10 °C ~ 30 °C (+14 °F ~ +86 °F)温度范围内5% ~ 95% RH (相对湿度)
+30 °C ~ 50 °C (+86 °F ~ 122 °F)时5% ~ 45%相对湿度
<10 °C (+50 °F)湿度不能控制,无冷凝
- 海拔高度
- 工作状态
最高 5000 米(16,404 英尺)
- 非工作状态
最高 15240 米(50,000 英尺)
- 暴露
- 防泼溅测试, 工作时和未工作时
- 根据 IEC529, IP52级进行非工作防泼溅测试后,没有撞击危险
- 防尘测试, 工作时和未工作时
- 测试方法根据IEC529, IP52级, 测试条件13.4和13.5.
- 盐暴露测试, 结构部件
- 标准MIL-STD-810, 方法509.1, 程序1
动态
- 振动
- 工作状态
米乐m6网页版登录入口Class 2随机振动测试, 2.66 GRMS: 5-500 Hz, 3个轴, 每个轴10分钟
- 非工作状态
MIL-PRF-28800F 2 类
0.030 g2/Hz., 10 500 Hz, 每个轴30分钟, 3个轴(总共90分钟)
- 冲击
- 工作状态
- 测试方法依据军事标准MIL-PRF-28800F 1-4
- 非工作状态
- 超过军事标准MIL-PRF-28800F的要求
- 处理和运输
- 台式机处理, 工作时
MIL-PRF-28800F 2 类
- 运输中跌落, 未工作时
- MIL-PRF-28800F 2 类
- 自由下落跌落, 未工作时
- 32 英寸
订货信息
仪器型号
RSA503A:USB 实时频谱分析仪,9 kHz - 3.0 GHz,40 MHz 采集带宽
RSA507A:USB 实时频谱分析仪,9 kHz - 7.5 GHz,40 MHz 采集带宽
RSA513A:USB 实时频谱分析仪,9 kHz - 13.6 GHz,40 MHz 采集带宽
RSA518A:USB 实时频谱分析仪,9 kHz - 18.0 GHz,40 MHz 采集带宽
RSA500 系列仪器要求 PC 装有 Windows 7、Windows 8/8.1 或 Windows 10 64 位操作系统及 USB 3.0 连接。安装 SignalVu-PC 需要 8 GB RAM 和 20 GB 空闲硬盘空间。为实现RSA500 实时功能的全部性能,要求Intel Core i7第四代处理器。可以使用性能较低的处理器,但实时性能会下降。贮存流式数据要求 PC 配备的硬盘能够支持 300 MB/s 的流存储速率。
包括:USB 3.0 电缆(2 米)、A-A 连接、螺纹结合、肩带、运送箱(可以放置仪器、平板电脑、各种附件)、快速入门手册(打印)、连接器保护罩、WFM200BA 锂离子充电电池组、WFM200BA 锂离子电池组使用说明(打印)、AC 电源适配器、电源线(参见电源插头选项)、含 SignalVu-PC、API 和文档文件的 U 盘。仪器中不包括 GPS 天线。有关选配的 GPS 天线,请参见附件。
仪器选项
| 选件 | 描述 |
|---|---|
| 选件 0416 | 跟踪发生器:
|
选件
RSA500A 电源插头选项
- 选项A0
- 北美电源插头 (115 V, 60 Hz)
- 选项A1
- 欧洲通用电源插头 (220 V, 50 Hz)
- 选项A2
- 英国电源插头 (240 V, 50 Hz)
- 选项A3
- 澳大利亚电源插头 (240 V, 50 Hz)
- 选项A4
- 北美电源插头 (240 V, 50 Hz)
- 选项A5
- 瑞士电源插头 (220 V, 50 Hz)
- 选项A6
- 日本电源插头 (100 V, 50/60 Hz)
- 选项A10
- 中国电源插头 (50 Hz)
- 选项A11
- 印度电源插头 (50 Hz)
- 选项A12
- 巴西电源插头 (60 Hz)
- 选项A99
- 无电源线
RSA500语言选项
- 选项L0
- 英文手册
- 选项L1
- 法语手册
- 选项L2
- 西班牙语手册
- 选项L3
- 日语手册
- 选项L4
- 葡萄牙语手册
- 选项L5
- 简体中文手册
- 选项L6
- 韩语手册
- 选项L7
- 俄语手册
RSA500A 服务选项
- 选项C3
- 校准服务 3 年
- 选项C5
- 校准服务 5 年
- 选项D1
- 校准数据报告
- 选项D3
- 3 年校准数据报告(需要C3 选件)
- 选项D5
- 5 年校准数据报告(需要C5 选件)
- 选项R5
- 5 年维修服务(包括保修)
保修
- RSA500系列保修: 3年.
平板电脑
- 平板电脑需单独订购
建议将 Panasonic FZ-G1 Toughpad 平板电脑控制器与 RSA500A 系列一起用于便携式现场应用。可从 Panasonic(网址为 https://na.panasonic.com/us/computers-tablets-handhelds/tablets/tablets/toughbook-g1)和其他第三方网站购买 Windows 10 版本的平板电脑。
许可
在购买 SignalVu-PC 时,可以选购各种许可的应用功能。这些许可可以与 PC 或任何 RSA300 系列、RSA500 系列、RSA600 系列和 RSA7100A 频谱分析仪关联并存储在这些分析仪上。许可可以作为硬件的选件购买或者作为节点锁定或浮动许可单独购买。
如需购买许可证,请联系当地米乐m6网页版登录入口客户经理。如果所购买的许可证并非作为仪器的选件来订购,您将收到一封电子邮件,其中会列出所购买的应用功能和米乐m6网页版登录入口产品许可证网页的网址 (URL),您可以在此网页中创建帐户并使用米乐m6网页版登录入口资产管理系统 (AMS) 管理您的许可证:http://www.tek.com/products/product-license。
AMS 提供您帐户所拥有许可证的清单。它用户检出或检入许可并查看许可历史。
以下任一许可类型均可启用选配应用。
| 许可类型 | 描述 |
|---|---|
作为仪器的选件购买的节点锁定许可 (NL) | 此许可最初分给特定主机 ID(PC 或仪器)。它可以使用 Tek AMS 与 PC 或另一频谱分析仪重新关联两次。 在与仪器关联后,此许可在制造时出厂预装在仪器上。在连接仪器时,使用 SignalVu-PC 的任何 PC 均可识别它。但是,如果断开获得许可的仪器,获得许可的应用将停用。 这是最常见的许可形式,因为可简化应用的管理。 |
| 单独购买的节点锁定许可 (NL) | 此许可最初分给特定主机 ID(PC 或仪器)。它可以使用 Tek AMS 与 PC 或仪器重新关联两次。 此许可证通过电子邮件交付,在安装时,它将与 PC 或仪器关联。 当希望在 PC 上保存许可或希望在现有 USB 仪器上安装许可时,应购买此许可。 |
| 单独购买的浮动许可 (FL) | 此许可证可以在不同主机 ID(PC 或仪器)之间转移。它可以使用 Tek AMS 与不同 PC 或仪器重新关联无数次。 此许可证通过电子邮件交付,在安装时,它将与 PC 或仪器关联。 这是最灵活的许可,推荐用于需要经常迁移许可的应用中。 |
SignalVu-PC特定应用模块
提供了下述 SignalVu-PC 许可选项。
| 应用许可 | 描述 |
|---|---|
| SVANL-SVPC | AM/FM/PM/直接音频分析 - 锁定节点许可 |
| SVAFL-SVPC | AM/FM/PM/直接音频分析 - 浮动许可 |
| SVTNL-SVPC | 稳定时间(频率和相位)测量 - 锁定节点许可 |
| SVTFL-SVPC | 稳定时间(频率和相位)测量 - 浮动许可 |
| SVMNL-SVPC | 通用调制分析,用于采集带宽 <= 40 MHz 的分析仪或用于 MDO - 锁定节点许可 |
| SVMFL-SVPC | 通用调制分析,用于采集带宽 <= 40 MHz 的分析仪或用于 MDO - 浮动许可 |
| SVPNL-SVPC | 脉冲分析,用于采集带宽 <= 40 MHz 的分析仪或用于 MDO - 锁定节点许可 |
| SVPFL-SVPC | 脉冲分析,用于采集带宽 <= 40 MHz 的分析仪或用于 MDO - 浮动许可 |
| SVONL-SVPC | 通用 OFDM 分析 - 锁定节点许可 |
| SVOFL-SVPC | 通用 OFDM 分析 - 浮动许可 |
| SV23NL-SVPC | WLAN 802.11a/b/g/j/p 测量 - 锁定节点许可 |
| SV23FL-SVPC | WLAN 802.11a/b/g/j/p 测量 - 浮动许可 |
| SV24NL-SVPC | WLAN 802.11n 测量(需要 SV23)- 锁定节点许可 |
| SV24FL-SVPC | WLAN 802.11n 测量(需要 SV23)- 浮动许可 |
| SV25NL-SVPC | WLAN 802.11ac 测量,用于采集带宽 <= 40 MHz 的分析仪(需要 SV23 和 SV24)或用于 MDO - 锁定节点许可 |
| SV25FL-SVPC | WLAN 802.11ac 测量,用于采集带宽 <= 40 MHz 的分析仪(需要 SV23 和 SV24)或用于 MDO - 浮动许可 |
| SV26NL-SVPC | APCO P25 测量 - 锁定节点许可 |
| SV26FL-SVPC | APCO P25 测量 - 浮动许可 |
| SV27NL-SVPC | 蓝牙测量,用于采集带宽 <= 40 MHz 的分析仪或用于 MDO - 锁定节点许可 |
| SV27FL-SVPC | 蓝牙测量,用于采集带宽 <= 40 MHz 的分析仪或用于 MDO - 浮动许可 |
| SV31NL-SVPC | 蓝牙 5 测量(需要 SV27)- 节点锁定许可 |
| SV31FL-SVPC | 蓝牙 5 测量(需要 SV27)- 浮动许可 |
| MAPNL-SVPC | 地图绘制 - 锁定节点许可 |
| MAPFL-SVPC | 地图绘制 - 浮动许可 |
| SV56NL-SVPC | 播放记录文件 - 锁定节点许可(仅安装在 PC 控制器中) |
| SV56FL-SVPC | 播放记录文件 - 浮动许可(仅安装在 PC 控制器中) |
| CONNL-SVPC | 实时连接和基本 SignalVu-PC VSA 测量,利用 5 或 6 系列 BMSO 示波器(需要选件SV-RFVT)- 锁定节点许可证 |
| CONFL-SVPC | 实时连接和基本 SignalVu-PC VSA 测量,利用 5 或 6 系列 MSO 示波器(需要选件SV-RFVT)。— 浮动许可证 |
| SV2CNL-SVPC | 支持 WLAN 802.11a/b/g/j/p/n/ac,并连接到 5/6 系列 MSO(带选项SV-RFVT),或用于采集带宽 ≤ 40 MHz 的分析仪 - 节点锁定许可证 |
| SV2CFL-SVPC | 支持 WLAN 802.11a/b/g/j/p/n/ac,并连接到 5/6 系列 MSO(带选项SV-RFVT),或用于采集带宽 ≤ 40 MHz 的分析仪 - 浮动许可证 |
| SV28NL-SVPC | LTE 下形链路 RF 测量,用于采集带宽 <= 40 MHz 的分析仪或用于 MDO - 锁定节点许可 |
| SV28FL-SVPC | LTE 下形链路 RF 测量,用于采集带宽 <= 40 MHz 的分析仪或用于 MDO - 浮动许可 |
| 5GNRNL-SVPC | 5G NR 上行链路/下行链路 RF 功率、带宽、解调和误差矢量幅度测量17 |
| SV54NL-SVPC | 信号勘测和分类 - 锁定节点许可 |
| SV54FL-SVPC | 信号勘测和分类 - 浮动许可 |
| SV60NL-SVPC | 回波损耗, 故障测距, VSWR, 电缆损耗 - 锁定节点许可(RSA500A/600A上要求选项04) |
| SV60FL-SVPC | 回波损耗, 故障测距, VSWR, 电缆损耗 - 浮动许可 (RSA500A/600A上要求选项04) |
| SV30NL-SVPC | WiGig 802.11ad测量 - 锁定节点许可 (仅适用于离线分析) |
| SV30FL-SVPC | WiGig 802.11ad测量 - 浮动许可 (仅适用于离线分析) |
| EMCVUNL-SVPC | EMC 预一致性测试和调试 (包括 EMI CISPR 检测器) – 节点锁定许可 |
| EMCVUFL-SVPC | EMC 预一致性测试和调试 (包括 EMI CISPR 检测器) – 浮动许可 |
| SVQPNL-SVPC | EMI CISPR 检测 – 节点锁定许可 |
| SVQPFL-SVPC | EMI CISPR 检测 – 浮动许可 |
| EDUFL-SVPC | 教育专用版本,配备除 5GNR 以外的所有 SignalVu-PC 模块 - 浮动许可证 |
推荐附件
米乐m6网页版登录入口为RSA500A 系列提供各种适配器、衰减器、电缆、阻抗转换器、天线和其他附件。
- 通用 RF 电缆
- 012-1738-00
- 电缆,50 Ω,40 英寸,N 型(针式)到 N 型(针式)
- 012-0482-00
- 电缆,50 Ω,BNC(针式)3 英尺(91 cm)
- 174-4977-00
- 电缆,50 Ω,平直 N 型(针式)和斜面 N 型(针式)连接器,1.6 英尺(50 厘米)
- 174-5002-00
- 电缆,50 Ω,N 型(针式)到 N 型(针式)连接器,3 英尺(91 厘米)
- 适配器
- 103-0045-00
适配器,同轴电缆,50 Ω N 型(针式)到 BNC 型(孔式)
- 013-0410-00
- 适配器,同轴电缆,50 Ω N 型(孔式)到 N 型(孔式)
- 013-0411-00
- 适配器,同轴电缆,50 Ω N 型(针式)到 N 型(孔式)
- 013-0412-00
- 适配器,同轴电缆,50 Ω,N 型(针式)到 N 型(针式)
- 013-0402-00
- 适配器,同轴电缆,50 Ω N 型(针式)到 N 7/16 型(针式)
- 013-0404-00
- 同轴适配器,50 Ω N 型(针式)转 N 7/16 型(孔式)
- 013-0403-00
- 适配器,同轴电缆,50 Ω N 型(针式)到 DIN 9.5 型(针式)
- 013-0405-00
- 适配器,同轴电缆,50 Ω N 型(针式)到 DIN 9.5 型(孔式)
- 013-0406-00
- 适配器,同轴电缆,50 Ω N 型(针式)到 SMA 型(孔式)
- 013-0407-00
- 适配器,同轴电缆,50 Ω N 型(针式)到 SMA 型(针式)
- 013-0408-00
- 适配器,同轴电缆,50 Ω N 型(针式)到 TNC 型(孔式)
- 013-0409-00
- 适配器,同轴电缆,50 Ω N 型(针式)到 TNC 型(针式)
- 衰减器和 50/75 Ω 电阻衰减器
- 013-0422-00
- 连接盘,50/75 Ω,最小损耗,N 型(针式)50 Ω 到 BNC 型(孔式)75 Ω
- 013-0413-00
- 连接盘,50/75 Ω,最小损耗,N 型(针式)50 Ω 到 BNC 型(针式)75 Ω
- 013-0415-00
- 连接盘,50/75 Ω,最小损耗,N 型(针式)50 Ω 到 F 型(针式)75 Ω
- 015-0787-00
- 连接盘,50/75 Ω,最小损耗,N 型(针式)50 Ω 到 F 型(孔式)75 Ω
- 015-0788-00
- 连接盘,50/75 Ω,最小损耗,N 型(针式)50 Ω 到 N 型(孔式)75 Ω
- 011-0222-00
- 衰减器,固定式,10 dB,2 W,DC-8 GHz,N 型(孔式)转 N 型(孔式)
- 011-0223-00
- 衰减器,固定式,10 dB,2 W,DC-8 GHz,N 型(针式)转 N 型(孔式)
- 011-0224-00
- 衰减器,固定式,10 dB,2 W,DC-8 GHz,N 型(针式)转 N 型(针式)
- 011-0228-00
- 衰减器,固定式,3 dB,2 W,DC-18 GHz,N 型(针式)转 N 型(孔式)
- 011-0225-00
- 衰减器,固定式,40 dB,100 W,DC-3 GHz,N 型(针式)转 N 型(孔式)
- 011-0226-00
- 衰减器,固定式,40 dB,50 W,DC-8.5 GHz,N 型(针式)转 N 型(孔式)
- 天线
- 119-8733-00
- 天线,有源。GPS & GLONASS,磁铁安装,5M 电缆,3V,8ma SMA 连接器,RG-174 电缆
- 119-8734-00
天线,有源,GPS 和北斗,磁铁安装,5M 电缆,3V,8ma SMA 连接器,RG-174 电缆
- DF-A0047
定向天线,由 Alaris (www.alarisantennas.com/) 供货,20-8500 MHz,带电子罗盘和前置放大器18
- 016-2107-00
- DF-A0047 和 DF-A0047-01 运送箱18
- 119-6594-00
- Yagi 天线, 825-896 MHz前向增益(在半波双极上): 10 dB
- 119-6595-00
- Yagi 天线, 895-960 MHz前向增益(在半波双极上): 10 dB
- 119-6596-00
- Yagi 天线, 1850-1990 MHz前向增益(在半波双极上): 9.3 dB
- 119-6597-00
- 波束天线,1850 至 1990 MHz
- 119-6970-00
- 磁铁安装的天线,824 MHz 至 2170 MHz(要求适配器 103-0449-00)
- 滤波器、探头、演示电路板
- 119-7246-00
- 预滤波器,通用型,824 MHz 至 2500 MHz,N 型(孔式)连接器
- 119-7426
- 预滤波器,通用型,2400 MHz 至 6200 MHz,N 型(孔式)连接器
- 119-4146-00
- EMCO 电场/磁场探头
- 电场/磁场探头,经济型替代方案
- 可从 Beehive 获得 http://beehive-electronics.com/
- 011-0227-00
- Bias-T,N 型(针式)RF,N 型(孔式)RF+DC,BNC(孔式)偏置,1 W,0.5 A,2.5 MHz-6 GHz
- EMI-NF-PROBE
- 近场探头套件 (Tebox TBPS01)
- 附加电池和电缆
- 065-1004-00
- 适用于 RSA500A 系列的更换电池组
- 016-2109-01
- 额外的软携带包,带肩带
- 174-6810-00
- 附加 USB 3.0 电缆(2 m),A-A 连接,螺丝锁定
推荐的第三方设备和附件
推荐的便携式平板电脑控制器:
Panasonic 提供的 Windows 10 平板电脑http://www.panasonic.com:
- FZ-G1
- Toughpad,全加固型 10.1 英寸,Windows 10 Pro 64 位,英特尔® Core™ i5 vPro™,第 2个 USB3.0 端口
由 Dellwww.dell.com 提供以下 Windows 10 平板电脑:
- 7220
- Latitude Rugged Extreme,11.6 英寸,Windows 10 Pro 64 位,Intel® Core™ i5 vPro™,16 GB RAM
由 Microsoft www.microsoft.com 提供以下 Windows 10 平板电脑:
- Surface Pro 7
- 2 合 1 笔记本电脑 12.3 英寸,Windows 10 Pro 64 位,Intel® Core™ i5/i7 vPro™,16 GB RAM
EMC 附件可从 Com-Powerwww.com-power.com 获得:
- CLCE-400
- RF 电流探头 10 kHz 至 400 MHz
- ABF-900A
- 双锥形天线 25 Mhz 至 300 MHz
- ALC-100
- 紧凑型对数周期天线 300 MHz 至 1 GHz
- PAM-103
- 前置放大器 1 MHz 至 1 GHz
- AT-812
- 天线三脚架 0.8 至 1.5m 高度范围
EMC 附件可从 Tekboxwww.tekbox.com 获得:
由 Alaris Antennaswww.alarisantennas.com 提供以下频谱监控和寻向天线:
- DF-A0047
- 定向天线,20-8500 MHz,带有电子罗盘和前置放大器
- DF-A0047-01
- DF-A0047 定向天线频率范围扩展装置,9 kHz-20 MHz 升级
由 SPINNER products.spinner-group.com 提供以下校准套件
- 533863R000
- 校准套件,3 合 1,开路、短路、负载,DC 至 6 GHz,N 型(孔式),50 Ω
- 533864R000
- 校准套件,3 合 1,开路、短路、负载,DC 至 6 GHz,N 型(针式),50 Ω
由 Pelican www.pelican.com 和相关分销合作伙伴提供以下运送箱
- IM2720
- Pelican 硬质运送箱,内部 22 英寸 × 17 英寸 × 10 英寸
跟踪发生器附件
在与选配的电缆和天线测量软件一起使用时,为 RSA500 跟踪发生器提供了各种相位稳定电缆。
在配备 SV60 回波损耗、VSWR、电缆损耗和故障测距应用时,可以使用校准套件,改善跟踪发生器出厂校准。
这些相位稳定电缆是高性能电缆,相位稳定在 7.5 GHz 时 +- 2度,回波损耗小于 -20 dB。速度常数是 0.78。7.5 GHz 时损耗规定小于 -1.05 dB (0.6 m), -1.61 dB (1.0 m), -2.30 dB (1.5m) (所有值均为标称值)。
- 校准套件
- 可从 Spinner 获取推荐的校准套件 https://products.spinner-group.com/rf/test-measurement/vna-test-measurement
- 相位稳定电缆
- 012-1745-00
- N型 (针式) 到 N型 (孔式), 5 英尺或1.5 米
- 012-1746-00
- N型 (针式) 到 N型 (针式) , 5 英尺或1.5 米
- 012-1747-00
- N型 (针式) 到 7/16(孔式), 60 厘米 (23.6 英寸)
- 012-1748-00
- N型 (针式) 到 7/16(孔式), 3.28 英尺或1 米
- 012-1749-00
- N型 (针式) 到 7/16(孔式), 5 英尺或1.5 米
- 012-1750-00
- N型 (针式) 到 7/16(针式) , 3.28 英尺或1 米
- 012-1751-00
- N型 (针式) 到 7/16(针式) , 5 英尺或1.5 米
- 012-1752-00
- N型 (针式) 到 7/16(针式) , 60 厘米 (23.6 英寸)
- 012-1753-00
- N型 (针式) 到 DIN 9.5(孔式), 60 厘米 (23.6 英寸)
- 012-1754-00
- N型 (针式) 到 DIN 9.5(孔式), 3.28 英尺或1 米
- 012-1755-00
- N型 (针式) 到 DIN 9.5(孔式), 5 英尺或1.5 米
- 012-1756-00
- N型 (针式) 到 DIN 9.5(针式) , 3.28 英尺或1 米
- 012-1757-00
- N型 (针式) 到 DIN 9.5(针式) , 5 英尺或1.5 米
- 012-1758-00
- N型 (针式) 到 DIN 9.5(针式) , 60 厘米 (23.6 英寸)
- 012-1759-00
- N型 (针式) 到 TNC(孔式), 3.28 英尺或1 米
- 012-1760-00
- N型 (针式) 到 TNC(孔式), 5 英尺或1.5 米
- 012-1761-00
- N型 (针式) 到 TNC(孔式), 60 厘米 (23.6 英寸)
- 012-1762-00
- N型 (针式) 到 TNC(针式) , 60 厘米 (23.6 英寸)
- 012-1763-00
- N型 (针式) 到 TNC(针式) , 3.28 英尺或1 米
- 012-1764-00
- N型 (针式) 到 TNC(针式) , 5 英尺或1.5 米
- 012-1765-00
- N型 (针式) 到 N型 (孔式), 60 厘米 (23.6 英寸)
- 012-1766-00
- N型 (针式) 到 N型 (孔式), 3.28 英尺或1 米
- 012-1767-00
- N型 (针式) 到 N型 (针式) , 3.28 英尺或1 米
- 012-1768-00
- N型 (针式) 到 N型 (针式) , 60 厘米 (23.6 英寸)
- 012-1769-00
- N型 (针式) 到 SMA 型(孔式), 60 厘米 (23.6 英寸)
- 012-1770-00
- N型 (针式) 到 SMA 型(孔式), 3.28 英尺或1 米
- 012-1771-00
- N型 (针式) 到 SMA 型(孔式), 5 英尺或1.5 米
- 012-1772-00
- N型 (针式) 到 SMA 型(针式) 60 厘米 (23.6 英寸)
- 012-1773-00
- N 型(针式)转 SMA 型(针式),3.28 英尺或 1 米
- 012-1774-00
- N 型(针式)到 SMA 型(针式),5 英尺或 1.5 米






