gongjigongyi.com
与米乐m6网页版登录入口代表实时聊天。 工作时间:上午 9:00 - 下午 5:00(太平洋标准时间)。
致电我们
工作时间:上午9:00-下午5:00(太平洋标准时间)
下载
下载手册、产品技术资料、软件等:
反馈
强度(数字)
输入通道
- 4、6 或 8 个 FlexChannel® 输入
- 每个 FlexChannel 提供:
- 一个模拟信号,可以显示为波形视图、频谱视图或同时显示为两者
- 使用 TLP058 逻辑探头时 8 个数字逻辑输入
带宽(所有模拟通道)
- 350 MHz、500 MHz、1 GHz、2 GHz(可升级)
采样率(所有模拟/数字通道)
- 实时:6.25 GS/s
- 插值:500 GS/s
记录长度(所有模拟/数字通道)
- 62.5 M 点标配
- 125、250、500 M 点(选配)1
波形捕获速率
- >500,000 个波形/秒
垂直分辨率
- 12 位 ADC
- 高分辨率模式下高达 16 位
标准触发类型
- 边沿,脉冲宽度,欠幅,超时,窗函数,逻辑,建立时间和保持时间,上升/下降时间,并行总线,序列,可视触发,视频(可选),射频对时间(可选)
标准分析
- 光标:波形、V 条、H 条、V&H 条
- 测量:36
- 频谱视图:频域分析,独立控制频域和时域
- FastFrameTM:分段内存采集模式,最大触发速率 > 5,000,000 个波形/秒
图:时间趋势、直方图、频谱和相位噪声
- 数学:基本波形代数、FFT 和高级公式编辑器
- 搜索:搜索任何触发标准
- 抖动:TIE 和相位噪声
选配分析1
- 高级抖动和眼图分析
- 用户定义的过滤
- 高级频谱视图
- RF 与时间光迹、触发、光谱图和 IQ 捕获
- 数字电源管理
- 模板/极限测试
- 逆变器、电机和驱动器
- LVDS 调试和分析
- PAM3 分析
- 高级功率测量和分析
- 高级矢量信号分析 (SignalVu-PC)
选配协议触发、解码和分析1
- I2C、SPI、eSPI、I3C、RS-232/422/485/UART、SPMI、SMBus、CAN、CAN FD、LIN、FlexRay、SENT、PSI5、CXPI、汽车以太网、MIPI C-PHY、MIPI D-PHY、USB 2.0、eUSB2、以太网、EtherCAT、音频、MIL-STD-1553、ARINC 429、Spacewire、8B/10B、NRZ、曼彻斯特、SVID、SDLC、1-Wire、MDIO 和 NFC
选配串行一致性测试1
- 以太网、USB 2.0、汽车以太网、工业以太网
任意/函数发生器1
- 50 MHz 波形生成
- 波形类型:任意波形、正弦波、方波、脉冲、锯齿波、三角波、DC 电平、高斯、洛伦兹、指数上升/下降、Sin(x)/x、随机噪声、半正矢曲线、心电图
数字电压表2
- 4 位 AC RMS、DC 和 DC+AC RMS 电压测量
触发频率计数器2
- 8 位
显示
- 15.6 英寸 (396 mm) TFT 彩色
- 高清 (1920 x 1080) 分辨率
- 容性(多触点)触摸屏
连接性
- USB 主控(7 端口),USB 3.0 设备(1 端口),LAN(10/100/1000 Base-T 以太网;符合 LXI 标准),显示器端口,DVI-D,VGA
e*Scope®
- 使用标准网络浏览器,通过网络连接远程查看和控制示波器
标配探头
- 每条通道一只 10 MΩ 无源电压探头,<4 pF 容性负载
保修
- 3 年 (标配),选配整体保护方案
尺寸
- 309 mm(12.2 英寸)高 x 454 mm(17.9 英寸)宽 x 204 mm(8.0 英寸)深
- 重量:< 11.4 kg(25 磅)
5 系列 MSO 拥有极具创新的手指开合-滑动-缩放触摸屏用户界面,业内超大的高清显示器,以及 4 个、6 个或 8 个 FlexChannel® 输入,每条通道可以测量一个模拟信号或 8 个数字信号,可以解决当前及未来棘手的挑战。它为性能、分析和整体用户体验设立了新的标准。
绝不会因为通道不够而推迟检验和调试流程!
5 系列 MSO 提供了 4 通道、6 通道和 8 通道型号及 15.6 英寸高清 (1,920 x 1,080) 显示器,可以更好地查看复杂的系统。许多应用如嵌入式系统、三相电电子器件、汽车电子器件、电源设计和 DC 到 DC 功率转换器,都要求观察 4 个以上的模拟信号,检验和表征器件性能,调试极具挑战性的系统问题。
大多数工程师都记得,他们曾调试过特别难的问题,希望更好地查看系统和状态,但使用的示波器只能提供两条或四条模拟通道。使用第二台示波器非常麻烦,需要对准触发点,很难确定两台显示器之间的定时关系,文档管理也是问题。
您可能认为6 和 8 通道示波器的价格会比 4 通道示波器高出 50%或 100%,但您会惊喜地发现,我们的 6 通道示波器只比 4 通道型号贵 ~25% 8 通道示波器只比 4 通道示波器贵 ~67% 。新增的模拟通道可以迅速获得回报,因为您可以按期完成当前项目和未来项目。

FlexChannel® 技术支持更高的灵活性,可拓展系统查看能力
5 系列 MSO 重新界定了混合信号示波器 (MSO) 的标准。FlexChannel 技术可以把每个通道输入作为一条模拟通道、8 个数字逻辑输入(使用 TLP058 逻辑探头)或同时作为模拟视频和频谱视图 每个域使用独立采集控制。异常灵活,配置起来异常方便。
在 8 FlexChannel 型号中,可以把仪器配置成查看 8 个模拟信号和 0 个数字信号。也可以配置成查看 7 个模拟信号和 8 个数字信号。还可以配置成查看 6 个模拟信号和 16 个数字信号,查看 5 个模拟信号和 24 个数字信号,等等。您只需增加或拔下 TLP058 逻辑探头,就可以随时改变配置,直到获得适当数量的数字通道。

而不像上一代 MSO 要求进行折衷,因此数字通道的采样率要低于模拟通道,或者记录长度要短于模拟通道。5 系列 MSO 为数字通道提供了全新的集成度。数字通道共享与模拟通道同样高的采样率(最高 6.25 GS/s)和同样长的记录长度(最高 500M 点)。



前所未有的信号查看功能
5 系列 MSO 提供超大 15.6 英寸 (396 mm)显示器,领先业界产品。显示面积比 10.4" (264 mm) 显示器的示波器多出 100%。这些显示器还具有极高的分辨率,支持全高清分辨率 (1920 x 1080),可以一次查看多个信号,为关键读数和分析提供充足的空间。
查看区域经过优化,确保为波形提供最大的垂直空间。右面的结果条可以隐藏,波形视图可以占据显示器的全部宽度。

5 系列 MSO 提供了颠覆式的全新堆叠显示模式。以往,示波器会把所有波形重叠在相同的刻度内,这会引发很多矛盾:
为了查看每个波形,您要在垂直方向定标和定位每个波形,使它们不要重叠。每个波形只占用可用 ADC 范围的一小部分,因此测量准确度会下降。
为保证测量精度,您要在垂直方向定标和定位每个波形,以覆盖整个显示屏。波形相互重叠,很难区分各个波形上的信号细节
全新堆叠显示模式则消除了这种矛盾。在创建和删除波形时,它自动增加和删除额外的水平波形“分割”(额外的刻度)。每个分割都会使用整个 ADC 范围。所有波形看上去彼此分开,同时仍使用整个 ADC 范围,实现了最大的可见性和精度。而且这一切在增加或删除波形时都是自动完成的!通过拖放显示画面底部设置条中的通道和波形标记,可以在堆叠显示模式中简便地重新排列各通道的顺序。多组通道还可以叠加在一个片段内部,简化目测对比信号。
5 系列 MSO 中的尺寸显示器不仅为信号提供了充足的查看区域,还为示图形、测量结果表、总线解码表等提供了充足的查看区域。您可以简便地调整各种视图的大小,重新确定其位置,适应自己的应用。

用户界面异常简便易用,让您把重点放在手边的任务上
设置条 – 管理关键参数和波形
波形和示波器运行参数在设置条中用一系列“标志”显示,设置条位于显示屏底部。设置条可以直接进入最常用的波形管理任务。您只需轻轻一触,就可以:
- 打开通道
- 增加数学波形
- 增加参考波形
- 增加总线波形
- 启用选配的集成任意波形/函数发生器 (AFG)
- 启用选配的集成数字电压表 (DVM)
结果条 – 分析和测量
显示屏右侧的结果条只需轻轻一触,就可以直接进入最常用的分析工具,如光标、测量、搜索、测量和总线解码结果表、示图和备注。
DVM、测量和搜索结果标志显示在结果条中,而不会影响任何波形查看区域。为增加波形查看区域,可以随时解除及放回结果条。

全新的触控交互方式
示波器采用触摸屏已有多年时间,但触屏界面的设计体验总是被置后考虑。 5 系列 MSO 的 15.6" 显示器包括容性触摸屏,提供了业界首款真正为触控设计的示波器用户界面。
5 系列 MSO 支持您在手机和平板电脑中使用并希望在触控设备中实现的各种触控操作。
- 左/右或上/下拖动波形,调节水平位置和垂直位置,或卷动缩放视图
- 使用手势,在水平方向或垂直方向改变标度或进行放大/缩小
- 将项目拖至垃圾桶或将其拖离屏幕边缘以将其删除
- 从右滑出,会出现结果条;从上往下滑,会进入显示屏左上角菜单
平滑的、快速响应的前面板控件可以使用熟悉的旋钮和按钮进行调节,可以增加鼠标或键盘作为第三种交互方式。
变量字体大小
从历史角度看,示波器用户界面的设计采用固定的字体大小,以优化波形和读数的显示。如果所有用户均具有相同的查看偏好,则可很好实现,但这不切实际。用户耗费大量时间盯着屏幕,米乐m6网页版登录入口意识到了这一点。5 系列 MSO 为用户提供可调字体大小的偏好设置;最小 12 号字,最大 20 号字。调整字体大小时,用户界面动态缩放,因此您可以轻松地选择适用于您的应用的最佳大小。


前面板控件更加注重细节设计
传统上,显示器和控件一直大约各占示波器正面的一半。5 系列 MSO 显示器占了仪器正面的大约85%。为实现这一点,它采用流线型前面板设计,保留了关键控件,实现了简单直观操作,而对通过显示屏上的对象直接进入的功能,则减少了菜单按钮的数量。
带颜色编码的 LED 光圈指明触发源和垂直标度/位置旋钮分配情况。大的专用运行/停止/单次按钮位于右上方显眼位置,其他功能如强制触发、触发斜率、触发模式、默认设置、自动设置和快速保存功能,则使用专用前面板按钮进入。
是否采用 Windows,由您自己来定
5 系列 MSO是第一台允许 用户选择是否包括 Microsoft Windows™ 操作系统的示波器。打开仪器底部的接入面板,可以连接固态硬盘(SSD)。在没有 SSD 时,仪器会作为专用示波器启动,不能运行或安装其他程序。
在有 SSD 时,仪器会作为开放的 Windows 10 配置启动,您可以最小化示波器应用,进入 Windows 桌面,然后可以在示波器上安装和运行其他应用,或者您也可以连接其他显示器并扩展桌面。
不管是否运行 Windows,示波器的操作方式都一样,感观和用户界面交互都相同。
需要更高的通道密度?
5 系列 MSO 同样适用于小型规格产品 - MSO58LP。5 系列 MSO 小型规格产品在 2U 高产品包和 12 位 ADC 中采用 8 个 1 GHz 输入通道以及一个辅助触发输入通道,为需要极高通道密度的应用设立了全新的性能标准。

体验性能差异
由于高达 2 GHz 模拟带宽、6.25 GS/s 采样率、标配 125 Mpts 记录长度和 12 位模数转换器(ADC),5 系列 MSO 为您捕获波形提供了所需的性能,同时提供了优秀的信号保真度和分辨率,可以查看所有波形细节。
数字荧光技术及 FastAcq™ 高速波形捕获
如果想调试设计问题,首先必须知道存在问题。数字荧光技术及 FastAcq 让您更深入地了解器件的实际运行状况。其快速波形捕获速率(>500,000个波形/秒)提高了查看数字系统中常见偶发问题的概率,如欠幅脉冲、毛刺、定时问题等。为进一步增强查看偶发事件的能力,辉度等级指明了偶发瞬态信号相对于正常信号特点发生的频次。

业界领先的垂直分辨率
5 系列 MSO 提供了杰出的性能,可以捕获关注的信号,同时在您需要捕获高幅度信号,而又要查看更小的信号细节时,最大限度地降低了有害噪声的影响。5 系列 MSO 的核心是 12 位模数转换器 (ADC),其提供的垂直分辨率是传统 8 位 ADC 的 16 倍。
全新高分辨率模式根据选择的采样率来应用基于硬件的独特有限脉冲响应 (FIR) 滤波器。FIR 滤波器为该采样率保持最大带宽,同时在超过选定采样率的可用带宽时,防止假信号,消除示波器放大器和 ADC 中的噪声。High Res 模式一直提供最低 12 位的垂直分辨率,一直扩展到 ≤125 MS/s 采样率下的 16 位垂直分辨率。
噪声更低的新型前端放大器进一步改善了5 系列 MSO 解析精细信号细节的能力。

触发
发现电路问题只是第一步,然后,您必须捕获对应的事件,以确定根本原因。 5 系列 MSO 提供了一套完整的高级触发功能,包括:
- 欠幅
- 逻辑
- 脉冲宽度
- 窗口
- 超时
- 上升/下降时间
- 建立与保持时间违例
- 串行数据包
- 并行数据
- 序列
- 视频
- 可视触发
- 射频频率与时间
- 射频幅度与时间
由于记录长度高达 500 M 点 ,您可以在一次采集中捕获许多对应的事件,甚至捕获数千个串行包。同时也可以提供高分辨率,放大精细的信号细节,记录可靠的测量数据。

可视触发 – 迅速找到关心的信号
找到复杂总线的适当周期可能要用几个小时的时间,来收集和分类数千次采集,找到关心的事件。通过定义触发,隔离所需事件,可以加快调试和分析工作。
可视触发功能扫描所有波形采集,并与屏幕上区域(几何形状)进行比较,扩展了仪器的触发功能。您可以使用鼠标或触摸屏创建数量无上限的区域,可以使用各种形状 (三角形, 矩形, 六边形或梯形)指定所需的触发行为。一旦创建了形状,那么可以以交互方式编辑形状,创建自定义形状和理想的触发条件。在定义了多个区域后,可以使用布尔逻辑公式,利用屏幕上编辑功能设置复杂的触发条件。

通过仅触发最重要的信号事件,可视触发能够减少捕获量以及手动搜索时的工作量,进而节约数小时时间。您可以在几秒钟或几分钟内,找到关键事件,完成调试和分析工作。可视触发甚至可以用于多条通道,进一步用来调试和排除复杂的系统故障。

准确的高速探测
每台 5 系列 MSO均标配 TPP 系列无源电压探头,提供了通用探头的各种优势 – 高动态范围,灵活的连接选项,强健的机械设计 – 同时提供了有源探头的性能。高达 1 GHz 的模拟带宽可以查看信号中的高频成分,3.9 pF 超低容性负载则最大限度地降低了对电路的负面影响,能够允许更长的接地引线。
您可以选配低衰减 (2X) 版本的 TPP 探头,测量低电压。与其他低衰减无源探头不同,TPP0502 具有较高的带宽 (500 MHz) 和较低的电容性负载 (12.7 pF)。

TekVPI 探头接口
TekVPI®探头接口在探测中确立了简便易用的标准。该接口除了提供牢固可靠的连接外,许多 TekVPI 探头还有状态指示灯和控件,并在综合面板中直接提供了探头菜单按钮。这个按钮可以在示波器显示器上启动一个探头菜单,其中包括探头所有相关设置和控制功能。TekVPI 接口允许直接连接电流探头,无需单独电源。TekVPI 探头可以通过 USB 或 LAN 远程控制,在自动测试系统环境中提供了功能更全面的解决方案。 5 系列 MSO 为前面板连接器提供了最高 80 W 功率,足以为连接的所有 TekVPI 探头供电,无需使用额外的探头电源。
IsoVu™ 隔离测量系统
不管是设计逆电器、优化电源、测试通信链路、测量电流并联电阻器、调试 EMI 或 ESD 问题、还是试图消除测试设置中的接地环路,共模干扰直到现在都是工程师的设计、调试、评估和优化盲区。
米乐m6网页版登录入口颠覆式的 IsoVu 技术采用光通信和光纤供电技术,全面隔离电流。在与配备 TekVPI 接口的 5 系列 MSO 结合使用时,它是一款能够在存在大的共模电压时,准确解析高带宽差分信号的测量系统:
完全电隔离
高达 1 GHz 带宽
100 MHz 时,共模抑制为 1 百万比 1 (120 dB)
全带宽时,共模抑制为 10,000 比 1 (80 dB)
高达 2,500 V 的差分动态范围
60 kV 共模电压范围

使用 IsoVu 测量高侧门电路电压

上图显示的是标准差分探头与光隔离探头的高侧门电路电压的比较。对于开关时,设备门电路通过门限区域后,门电路上都可以看到高频振铃。由于门电路和电源环路间的耦合,预计会出现一些振铃。然而,在差分探头情况下,振铃幅度明显高于光隔离探头测量幅度。这可能由于不断变化的参考电压引起探头内共模电流和标准差分探头的伪影。虽然差分探头测量的波形似乎通过设备的最大门电路电压,但光隔离探头的更准确测量表明该设备符合规格。使用标准差分探头进行门电路电压测量的应用设计人员应谨慎行事,因为可能无法区分此处显示的探测和测量系统伪影与实际违反设备额定值的情况。这种测量伪影可能会导致设计人员增加门电路电阻以减慢开关瞬态并减少振铃。然而,这会不必要地增加 SiC 设备的损耗。因此,必须拥有能够准确反映设备实际动态的测量系统,以便适当地设计系统并优化性能。
全面分析能力,快速获得所需信息
基本波形分析
为了检验原型的性能与仿真相符,并满足项目的设计目标,必须认真进行分析,从简单地检查上升时间和脉冲宽度,到全面分析功率损耗、检定系统时钟、调查噪声来源。
5 系列 MSO 提供了一套完善的标准分析工具,包括:
- 基于波形的光标和基于屏幕的光标
- 36 种自动测量。测量结果包括记录中的所有实例,能够从一个发生时点转到下一个发生时点,直接查看记录中的最小结果或最大结果
- 基本波形数学运算
- 基本 FFT 分析
- 高级波形数学运算,包括使用滤波器和变量编辑任意公式
- 频谱视图:频域分析,独立控制时域和频域
- FastFrame™ 分段存储器让您可以高效地利用示波器的采集内存,在一个记录中捕获多个触发事件,同时消除所关注事件之间的长时间空白。您可以单独查看和测量多个段,或以重叠方式查看和测量多个段。
测量结果表可以全面查看测量结果统计数据,包括当前采集和所有采集中的统计数据。

标注

1: 注释:在屏幕上书写并放置文本框。
2: 箭头:书写并放置文本框,然后在屏幕上的特定位置添加箭头。
3: 矩形:书写文本,然后在屏幕上勾画一个由可调大小的框指示的特定区域。
4: 书签:在与触发点相关的特定时间创建动态读数。此读数包括文本、信号幅度、信号单位以及指示书签参考点的线和目标。
记录测试结果和方法至关重要,这有利于在团队中共享数据、以后重新创建测量或提供客户报告。在屏幕上点击几下,即可按需创建任意数量的自定义标注; 使您能够记录测试结果的特定详细信息。通过各标注,您可以自定义文本、位置、颜色、字体大小和字体。
导航和搜索
如果没有适当的搜索工具,在长波形记录中找到对应的事件可能会耗费大量的时间。当今记录长度内含几百万数据点,定位事件可能要滚动几千屏的信号活动。
5 系列 MSO 通过新型 Wave Inspector® 控制功能,提供了业界内更完善的搜索和波形导航功能。这些控制功能加快了记录平移和放大速度。由于独特的应力感应系统,您可以在几秒钟内,从记录一端移到另一端。您也可以在显示屏上使用直观的拖放和缩放手势,调查长记录中关心的区域。
搜索功能可以自动搜索长采集数据,查找用户自定义事件。所有事件发生时点都用搜索标记高亮显示,可以使用前面板上的 前一个 ( ← )和 下一个 ( → ) 按钮或显示屏上的搜索标志简便导航。搜索类型包括边沿、脉冲宽度、超时、欠幅、窗口、逻辑、建立时间和保持时间、上升/下降时间和并行/串行总线包内容。您可以根据需要,定义多个独特的搜索条件。
您还可以使用搜索标志上的 Min 和 Max 按钮,在搜索结果的最小值和最大值之间快速跳转。

模板和极限测试(可选)

无论您是专注于信号完整性还是设置用于生产的通过/不通过条件,模板测试均是检定系统中某些信号行为的有效工具。通过在屏幕上绘制模板段快速创建自定义模板。根据特定要求量身定制测试,并设置在注册模板命中或完整测试通过或失败时采取的措施。
极限测试是一种监控信号长期行为的有见地方法,可帮助您检定新设计或在生产线测试期间确认硬件性能。极限测试使用用户定义的垂直容限和水平容限,将实时信号与相同信号的理想或黄金版本进行比较。
您可通过以下方式按照您的特定要求轻松定制模板或极限测试:
- 定义测试持续时间(以波形数量为单位)
- 设置判定测试失败必须满足的违例阈值
- 计数违例/失败和报告统计信息
- 设置违例、测试失败和测试完成时执行的操作
用户定义的过滤(选配)
从广义上讲,任何处理信号的系统均可视为滤波器。例如,示波器通道用作低通滤波器,其中,其 3 dB 下降点称为带宽。在任意形状的波形情况下,可设计一个滤波器,在一些基本规则、假设和限制的上下文中将其转换为定义形状。
与模拟滤波器相比,数字滤波器具有一些显着的优势。例如,模拟滤波器电路元件的容限值足够高,以至于难以甚至不可能实现高阶滤波器。高阶滤波器很容易实现为数字滤波器。数字滤波器可以实现为无限脉冲响应 (IIR) 或有限脉冲响应 (FIR)。IIR 或 FIR 滤波器的选择基于设计要求和应用。
5 系列 MSO能够通过 MATH 任意函数将指定滤波器应用于数学波形。选项 5-UDFLT 将此功能提升至一个更深层次,提供比 MATH 任意基础函数更多的功能,增加了支持标准滤波器的灵活性,并可用于以应用为中心的滤波器设计。

5 系列 MSO支持的滤波器类型包括:
- 低通
- 高通
- 带通
- 带阻
- 全通
- 希尔伯特
- 微分器
- 自定义
5 系列 MSO支持的滤波器响应类型包括:
- 巴特沃斯
- 切比雪夫 I 型
- 切比雪夫 II 型
- 椭圆
- 高斯
- 贝塞尔-托马森

一旦完成任何编辑,即可保存、调用和应用滤波器设计。
协议解码和分析(选配)
在调试过程中,最好能观察一条或多条串行总线上的流量,跟踪系统中的活动流程。手动解码一个串行包可能就需要几分钟的时间,更何况长采集中会有数千个数据包。
如果您知道在经过串行总线发送特定命令时会发生试图捕获的对应的事件,并且能够触发该事件,不是更好吗?遗憾的是,这并是仅仅指定边沿或脉冲宽度触发那么简单。

5 系列 MSO 提供了一套功能强大的工具,可以测量嵌入式设计中最常用的串行总线,包括 I2C、SPI、eSPI、I3C、RS-232/422/485/UART、SPMI、SMBus、CAN、CAN FD、LIN、FlexRay、SENT、PSI5、CXPI、汽车以太网、MIPI C-PHY、MIPI D-PHY、USB LS/FS/HS、eUSB2.0、以太网 10/100、EtherCAT、Audio (I2S/LJ/RJ/TDM)、MIL-STD-1553、ARINC 429、Spacewire、8B/10B、NRZ、曼彻斯特、SVID、SDLC、1-Wire、MDIO 和 NFC。
协议搜索功能使您可以搜索串行包的长采集数据,找到包含您指定的特定内容的包。事件的每次发生都用搜索标记突出显示。只需按前面板上或结果条中 Search 标记里的 前一个 ( ← ) 和 下一个 ( → )按钮,就可以在各个标记之间快速移动。
所述串行总线工具也可以用于并行总线。5 系列 MSO 标配并行总线支持。并行总线最宽可达 64 位,可以包括模拟通道和数字通道组合。
- 串行协议触发可以触发特定包内容,包括包头、特定地址、特定数据内容、的标识符、误码。
- 总线波形提供了构成总线的各个信号更高级的综合视图(时钟、数据、码片启用等),可以简便地识别数据包在哪儿开始和结束,识别子包成分,如地址、数据、标识符、CRC 等。
- 总线波形在时间上与显示的所有其他信号对准,可以方便地测量被测系统各部分的定时关系。
- 总线解码表以表格方式显示采集中所有解码的包,就像您在软件列表中看到的一样。数据包带有时间标记,针对每个组成(地址、数据等)按栏顺序列出。
NFC 解码和分析(选配)
由于在跟踪协议级别结果时无法达到参数信号级别,通常难以评估 NFC 设计的性能裕度。这意味着勉强通过的结果可能会导致测试流程后期出现故障,尤其是当设计容易受到设计折衷或附近电子设备引起的干扰和信号完整性问题(需要在协议分析仪、RF 信号分析仪等多个仪器之间进行耗时的调试)的影响时。
5 系列 MSO 上的 NFC 协议解码和搜索选项让用户可以查看 NFC 链路的事务,并通过标准中的每个信号处理步骤(从协议级别到基本信号级别)跟踪结果,从而深入了解 NFC 芯片、标签、读取器或移动设备的确切性能。
NFC 事务可能很长。该软件选项独特地利用来自用于频谱视图的硬件 DDC 的数据,这允许采样率压缩,因此可以节省传输时间和内存,并允许捕获和分析 100 毫秒甚至数秒的信号数据。
此外,由于 I/O 信号并非总是可以从被测设备探测和触发,考虑到 NFC 较小的调制指数,触发 RF 包络本身也是一项挑战。有了频谱视图,您可以使用 RF 与时间光迹和触发器来触发 13.56 MHz 包络(此功能在仪器中也是独一无二的)。
此功能简化了前期设计验证,并且在万一发生故障的情况下,还在单个仪器中提供了强大的调试工具。

一致性测试(选配)
嵌入式设计人员的一个重点领域是测试各种嵌入式系统和接口技术是否一致。这可以保证器件在 plugfests 中通过徽标认证,在与其他满足标准的器件一起运行时成功进行互操作。
高速串行标准的一致性测试规范都是由各自协会或主管机构开发的,比如 USB、以太网、内存、显示器和 MIPI。通过与这些协会密切合作,米乐m6网页版登录入口开发了基于示波器的一致性测试应用,不仅重点提供测试合格/不合格结果,还可以更深入地了解测试失败原因,其提供了各种相关测量工具,如抖动和定时分析,以调试测试失败的设计。
这些自动化一致性测试应用基于一个框架,提供了:
- 根据规范全面覆盖测试项目。
- 测试时间快,基于量身定制的设置优化采集和测试顺序。
- 在以前采集的信号基础上进行分析,在所有采集完成后可以从设置中断开被测器件 (DUT)。这可以分析不同示波器上采集的波形,或在远程实验室中捕获的波形,建立高度协作的测试环境。
- 在采集过程中验证信号,确保捕获适当的信号。
- 其他参数测量,用来调试设计。
- 自定义眼图模板测试,了解设计裕量。
- 以多种格式提供详细报告,包括设置信息、结果、裕量、波形截屏和示图。

频谱视图

在频域中查看一个或多个信号,通常可以更简便地调试问题。几十年来,示波器一直标配基于数学的 FFT,以满足这一需求。但是,FFT 非常难用,主要原因有二。
第一,在执行频域分析时,您可能认为中心频率、频宽和解析带宽 (RBW) 等控制功能和频谱分析仪上一样。但在使用 FFT 时,您要面对传统示波器控制功能,如采样率、记录长度和时间/格,您不得完成全部的思维转换,才能尝试得到频域中要找的视图。
第二,驱动 FFT 的是提供模拟时域视图的相同的采集系统。在为模拟视图优化采集设置时,您的频域视图不是自己想要的。在获得想要的频域视图时,您的模拟视图不是自己想要的。在基于数学的 FFT 中,几乎没有可能同时在两个域中都获得优化的视图。
频谱视图改变了这一切。米乐m6网页版登录入口的技术既为时域提供了一个抽取滤波器,又在每个 FlexChannel 后面为频域提供了一个数字下变频器 (DDC)。两条不同的采集路径让您可以同时观察输入信号的时域视图和频域视图,并为每个域提供独立的采集设置。其他制造商提供了各种“频谱分析”套件,并声称使用起来非常简便,但都会有上面的局限。只有频谱视图既提供了杰出的易用性,又能够同时在两个域中实现优化的视图。
传统上,执行 RF 测量时,例如 RF 通道功率 (CHP)、邻道功率比 (ACPR) 和占用带宽 (OBW),需要专用的频谱或信号分析仪或者频谱分析仪软件。这种额外的硬件或软件会增加复杂性和成本。每个通道上标配了频谱视图和集成的 RF 测量,可以节省用户时间、工作台空间和成本,并可直接在示波器上验证 RF 发射器 CHP、ACPR 和 OBW。
此外,与传统 FFT 相比,DDC 显著降低了解析信号所需的采样率,因为它取决于频宽,而不是中心频率。这样可以减少文件大小、提高频率分辨率和加快频谱更新速率,从而提供响应更迅速、更准确的解决方案,能够捕获 10 秒的频谱数据。

查看射频信号变化(可选)
射频时域光迹可以简便地了解随时间变化的射频信号中正在发生的情况。从频谱视图的基础 I 和 Q 数据得出三个射频时域光迹:
- 幅度 - 频谱的瞬时幅度随时间变化。
- 频率 - 频谱的瞬时频率相对于中心频率随时间变化。
- 相位 - 频谱的瞬时相位相对于中心频率随时间变化。
可以独立打开和关闭每条谱线,可以同时显示这三条谱线。
数据存储为同相和正交 (I&Q) 样本,并且时域数据和 I&Q 数据之间保持精确同步。
激活 RF 与时间光迹时,可以捕获 IQ 数据并将其导出到文件中,以便在第三方应用程序中进行更多高级分析。
在 x 轴为频率、y 轴为时间,且功率电平由颜色变化指示时,频谱图显示(包括选项 RFVT)增强了对信号幅度和频率内容随时间变化的洞察力,使您能够看到光谱活动在何时何处发生变化。这使得它非常适合显示频谱数据的趋势,例如在诊断复杂杂散、跳频、多通道和动态信号时。
频谱图的优点包括:
- 能够立即查看给定频宽和采集中的所有频谱活动,无需指定 FFT 重叠或频谱时间
- 使用与时间相关的光标和最多三个重叠的频谱谱线快速比较不同时刻的频谱
- 缩小和放大关注的频谱活动,并自动优化显示分辨率和 FFT 重叠
- 根据需要调整中心频率、频宽、RBW 和幅度颜色标度,以查看所有关注的信号
- 通过激活每个可用示波器通道上的频谱图并独立设置中心频率和幅度标度,可同时查看多通道或非连续频谱中的趋势


触发射频信号变化(可选)
无论您是需要查找电磁干扰源还是要了解 VCO 的行为,射频对时间的硬件触发器均可轻松隔离、捕获和了解射频信号行为。在边沿、脉冲宽度和射频幅度对时间以及射频频率对时间的超时行为时触发。
使用 SignalVu-PC 进行全面的矢量信号分析(可选)
如果分析需求超出基本频谱、幅度、频率和相位对时间,则可使用 SignalVu-PC 矢量信号分析应用。这样即可进行深入的瞬态射频信号分析、详细的射频脉冲检定以及全面的模拟和数字射频调制分析。
要在 5 系列 MSO 示波器上启用 SignalVu-PC 应用程序,需要三个选项。
- 要在仪器上运行该应用程序,需在示波器中安装 Windows SSD (5-WIN)。
- 需在示波器中安装频谱视图射频与时间光迹选项 (5-SV-RFVT),以便能够传输 I/Q 数据。
- 需在 SignalVu-PC 上安装 Connect (CONxx-SVPC) 许可证,以启用该应用程序的基本功能,其中包括超过 16 种的射频测量和显示。
各通道后的射频数字下变频器和集成测量引擎可在一台仪器中满足您复杂的混合信号和混合域分析需求。

高级脉冲分析(选配)
5 系列 MSO 提供的每通道 DDC 能够独立分析所有通道上的 RF 信号,包括单独定时、触发和测量的配置。当使用 SignalVu-PC VSA 软件时,此功能还能同时评估时域、频域和调制域。
高级脉冲分析选项 (SVPNL-SVPC) 允许您使用独立或协调的控制和测量,在共同时基上跨测量通道分析多个雷达信号。

抖动分析
5 系列 MSO 无缝集成了 DPOJET Essentials 抖动和眼图分析软件包,扩展了示波器功能,可以在一个单次实时采集中,在相邻时钟和数据周期上获得测量数据。这使得可以测量关键的抖动和时序分析参数,例如时间间隔误差和相位噪声,帮助检定可能的系统时序问题。
分析工具如时间趋势图和直方图,可以迅速显示测量结果怎样随时间变化,频谱分析功能则可以迅速显示抖动源和调制源精确的频率和幅度。
选项 5-DJA 增加了额外的抖动分析功能,有助于更好地检定器件性能。31 种新增测量功能提供了完善的抖动和眼图分析和抖动分离算法,可以发现当今高速串行设计、数字设计和通信系统设计中的信号完整性问题,以及相关的问题根源。选项 5-DJA 还提供眼图模板测试,支持自动实现通过/不通过测试。

功率分析 (选配)
5 系列 MSO还把选配的5-PWR/SUP5-PWR 功率分析套件集成到示波器的自动测量系统中,可以迅速地、可重复地分析功率质量、输入电容、涌入电流、谐波、开关损耗、安全作业区 (SOA)、调制、纹波、磁性测量、效率、幅度和定时测量、转换速率 (dv/dt 和 di/dt)、控制环路响应(博德图)和电源抑制比 (PSRR)。
测量自动化支持一键触摸优化测量质量和可重复性,而无需外部 PC 或复杂的软件设置。

数字电源管理(选配)
数字电源管理和分析 (DPM) 软件选项提供了自动电源轨测量,以便在 5 系列 MSO 示波器上进行电源完整性分析。该解决方案使得能够使用电源轨探头同时分析多个电源轨,并使用无源探头对测量进行定序。该解决方案在设计时充分考虑了用户的工作流程,以帮助设计工程师满足他们在上市时间方面的需求。此外,它还会生成自动报告,其中包括测量、测试结果和绘图。
主要测量包括纹波、纹波上的纹波、电源定序、抖动分析、瞬态分析、电源完整性和信号完整性分析。
电源引发的抖动 (PSIJ) 测量作为一种工具,为信号完整性工程师提供深入见解和信心,使其能够对硬件更改所造成的影响建模,并在实际进行更改之前测试其有效性。该测量提供基本结果,例如眼图高度、眼图宽度、PJ 以及滤波前后的 TIE。

逆变器电机驱动器分析(可选)

在使用三相电源的系统的设计和验证过程中,可能难以将控制系统和电力电子设备与整个系统的性能关联起来。IMDA 可用于 5 系列 MSO(MSO56 和 MSO58)的六通道和八通道版本,以分析数字控制和电力电子子系统。
这将为您提供更深入的见解,使您能够调试以下产品的设计、效率和可靠性:
- 用于 DC-AC 拓扑的三相电源逆变器、转换器、电源和汽车三相设计
- 电机(无刷交流,无刷直流,感应,永磁,通用,步进,转子)
- 驱动器(交流,直流,变频,伺服)
5-IMDA 包括的自动测量为:
- 输入分析
- 电源质量(提供相量图)
- 谐波
- 输入电压
- 输入电流
- 输入功率
- 纹波分析
线路纹波
- 开关纹波
- 输出分析
相量图
- 效率
- 机械功率
- 系统效率
- 接线配置
1 电压/1 电流 - 1P2W
2 电压/2 电流 - 1P3W
2 电压/2 电流 – 3P3W
- 3 电压/3 电流 – 3P3W
- 3 电压/3 电流 – 3P4W
使用选项 5-IMDA-DQ0 可获得将三相交流时域波形转换为直流信号的能力,这些信号以图形方式表示为相量图上的旋转坐标。
宽禁带双脉冲测试(选配)

宽禁带双脉冲测试应用(选项5-WBG-DPT)提供精确的宽禁带测量,简化了器件和系统验证过程。它能够测试 SiC 或 GaN 器件以及 Si MOSFET 和 IGBT。该应用程序与所有 Tektronix VPI 探头兼容,当与 Tektronix IsoVu™ 探头配合使用时,它有助于在电路级别上发现 SiC 或 GaN 器件的所有隐藏伪影。该应用程序根据 JEDEC 和 IEC 标准提供自动测量。它提供多项独特的功能,例如带注释的按周期分析、灵活的自定义参考电平设置、可配置的积分点以及可根据 DUT 设计设定的功率预设。
执行以下测量:
- 低侧开关参数和高侧二极管反向恢复测量
- 低侧和高侧开关参数
专为满足您的需求而设计
连接性
5 系列 MSO 带有大量的端口,可以用来把仪器连接至网络、直接连接至 PC,或连接至其他测试设备。
前面板上两个 USB 2.0 和一个 USB 3.0 主控端口及后面板上四个额外的 USB 主控端口(两个 2.0,两个 3.0)可以简便地把屏幕图、仪器设置和波形数据传送到 USB 海量存储设备上。还可以把 USB 鼠标和键盘连接到 USB 主控端口,控制仪器,输入数据。
后面板 USB 设备端口用来从 PC 远程控制示波器。
仪器后面标准 10/100/1000BASE-T 以太网端口可以简便地连接网络,提供 LXI Core 2011 兼容能力。
仪器后面的 DVI-D、显示器端口和 VGA 端口可以在外部监视器或投影仪上实现双重仪器显示,。

快速平稳地升级自动化测试设备 (ATE) 系统
任何经常使用自动化测试系统的人都知道,迁移至新模型或平台是一件繁琐而且费力的事情。为新产品修改现有代码库可能非常昂贵和复杂。现有一个解决方案。
所有 5 系列 MSO 均包含一个编程接口 (PI) 转换器。启用后,PI 转换器充当测试应用程序和示波器之间的中间层。它识别来自流行的 DPO/MSO5000B 和 DPO7000C 平台的旧命令子集,并将其即时转换为 5 系列 MSO 支持的命令。转换器界面设计为人类可读且易于扩展的界面,这意味着您可以自定义其行为以最大限度地减少过渡到新示波器时所需的工作量。
通过远程操作改进协作水平
想与世界另一侧的设计团队协作?
嵌入式 e*Scope® 功能可以通过网络连接,使用标准网络浏览器快速控制示波器。只需输入示波器的 IP 地址或者网络名称,即会向浏览器提供一个网页。可以远程控制示波器,就像在手边一样。您也可以使用 Microsoft Windows Remote Desktop™ 功能,直接连接示波器,实现远程控制。
通过标配行业标准 TekVISA™ 协议接口,您可以使用和增强 Windows 数据分析和文档管理应用。仪器配有 IVI-COM 仪器驱动程序,可以使用外部 PC 的 LAN 或 USBTMC 连接,轻松与示波器通信。

基于 PC 的分析和与示波器的远程连接
在 PC 上获取屡获殊荣的示波器所带来的分析能力。随时随地分析波形。基本许可证允许查看和分析波形,执行多种类型的测量并解码最常见的串行总线 - 全部在远程访问示波器的同时进行。高级许可证选项则增加了多示波器分析、更多串行总线解码选项、、功率测量等功能。

TekScope PC 分析软件的主要功能包括:
- 从米乐m6网页版登录入口和其他供应商制造的设备中调出米乐m6网页版登录入口示波器会话和波形。
- 支持的波形文件格式包括 .wfm、.isf、.csv、.h5、.tr0、.trc 和 .bin
- 远程连接米乐m6网页版登录入口 4/5/6 系列 MSO 以实时采集数据
- 与您的同事远程共享数据,这样他们可以像坐在示波器前一样进行分析和测量
- 实时同步来自多个示波器的波形
- 即使您的示波器未配备 TekScope PC 分析软件,也能执行高级分析
TekDrive 协作测试和测量工作区
使用 TekDrive,您可以从任何连接设备上传、存储、组织、搜索、下载和共享任何文件类型。TekDrive 原生集成到 5 系列 MSO,用于无缝共享和调用文件 - 无需 USB 记忆棒。直接在支持流畅交互式波形查看器的浏览器中分析和探索 .wfm、.isf、.tss 和 .csv 等标准文件。TekDrive 专为集成、自动化和安全而构建。

任意波形/函数发生器 (AFG)
仪器可以选配集成任意波形/函数发生器,特别适合模拟设计中的传感器信号,或在信号中增加噪声执行裕量测试。集成函数发生器提供了高达 50 MHz 的预定义波形,用于正弦波、方波、脉冲波、锯齿波/三角波、直流、噪声、抽样信号(Sinc 函数)、高斯白噪声、洛伦兹曲线、指数上升/下降、半正矢曲线和心电图。AFG 可以从内部文件位置或 USB 海量存储设备中加载最长 128 k 点的波形记录。
AFG 特性兼容米乐m6网页版登录入口 ArbExpress 基于 PC 的波形创建和编辑软件,可以快捷方便地生成复杂的波形。
数字电压表 (DVM) 和触发频率计数器
仪器含集成 4 位数字电压表 (DVM) 和 8 位触发频率计数器。任何模拟输入都可以作为电压表的来源,使用的探头与通用示波器相同。触发频率计数器提供了触发事件非常精确的频率读数。
数字电压表和触发频率计免费提供,在注册产品后激活。
增强安全选项
选配的 5-SEC 增强仪器安全功能使用密码保护控制所有仪器 I/O 端口打开/关闭及仪器固件升级功能。此外,选项 5-SEC 提供了超高的安全性,其保证内存中不会存储用户设置或波形数据,满足国家工业安全计划操作手册 (NISPOM) DoD 5220.22-M 第 8 章要求及 NISPOM 保密系统认证和认可国防安全手册。这保证了您可以放心地把仪器带出安全区域。
在您需要时提供帮助
5 系列 MSO 包括许多帮助资源,可以迅速解答您遇到的问题,而不用翻阅手册或上网查找:
- 各种菜单中使用图形图像和说明文本,迅速概括介绍各个功能。
- 所有菜单的右上角都有一个问号图标,通过它可以直接进入集成帮助系统中适用于该菜单的部分。
- 帮助菜单包括简短的用户界面教程,新用户可以在几分钟内迅速了解仪器操作。

技术规格
所有技术规格均有保证并适用于所有型号,除非另有说明。
型号概述
| MSO54 | MSO56 | MSO58 | |
|---|---|---|---|
| FlexChannel 输入通道 | 4 | 6 | 8 |
| 最大模拟通道数 | 4 | 6 | 8 |
| 最大数字通道数(带可选逻辑探头) | 32 | 48 | 64 |
| 带宽(计算的上升时间) | 350 MHz (1.15 ns), 500 MHz (800 ps), 1 GHz (400 ps), 2 GHz (225 ps) | ||
| DC 增益精度 | < 2 GHz 型号: | 50 Ω:±1.0%,(±2.0% @ ≤ 1 mV/div) ±0.5% 的满刻度,(±1.0% 的满刻度 @ 1 mV/div 和 500 μV/div 设置) 1 MΩ:±1.0%,(±2.0% @ ≤ 1 mV/div) ±0.5% 的满刻度,(±1.0% 的满刻度 @ 1 mV/div 和 500 μV/div 设置) | |
2 GHz 型号: | 50 Ω:±1.2%,(±2.0% @ ≤ 1 mV/div) ±0.6% 的满刻度,(±1.0% 的满刻度 @ 1 mV/div 和 500 μV/div 设置) 1 MΩ:±1.0%,(±2.0% @ ≤ 1 mV/div) ±0.5% 的满刻度,(±1.0% 的满刻度 @ 1 mV/div 和 500 μV/div 设置) | ||
| ADC 分辨率 | 12 位 | ||
| 垂直分辨率 | 8 位 @ 6.25 GS/s 12 位 @ 3.125 GS/s 13 位 @ 1.25 GS/s(高分辨率) 14 位 @ 625 MS/s(高分辨率) 15 位 @ 312.5 MS/s(高分辨率) 16 位 @ ≤125 MS/s(高分辨率) | ||
| 采样率 | 在所有模拟/数字通道上 6.25 GS/s(160ps 分辨率) | ||
| 记录长度(标配) | 在所有模拟/数字通道上 62.5 M 点 | ||
| 记录长度(选配) | 所有模拟/数字通道上 125 M、250 M 或 500 M 样点 | ||
| 波形捕获速率 | >500,000 wfms/s | ||
| 任意波形/函数发生器(可选) | 13 种预先定义的波形类型,高达 50 MHz 输出 | ||
| DVM | 4 位 DVM(产品注册后免费) | ||
| 触发频率计数器 | 8 位频率计数器(产品注册后免费) | ||
垂直系统 – 模拟通道
- 带宽选项
50 Ω:20 MHz、250 MHz 及您所拥有型号的全带宽值
1 MΩ:20 MHz、250 MHz、500 MHz
- 输入耦合
- DC、AC
- 输入阻抗
- 50 Ω ± 1%
1 MΩ ± 1%,13.0 pF ± 1.5 pF(< 2 GHz 型号)
1 MΩ ± 1%,14.5 pF ± 1.5 pF(2 GHz 型号)
- 输入灵敏度范围
- 1 MΩ
- 500 µV/div ~ 10 V/div,1-2-5 序列
- 50 Ω
- 500 µV/div ~ 1 V/div,1-2-5 顺序
- 注:注:500 μV/div 是 1mV/div 的 2 倍数字缩放
- 最大输入电压
50 Ω:5 VRMS, 峰值 ≤ ±20 V (DF ≤ 6.25%)
1 MΩ:300 VRMS CAT II,
对于 1 MΩ,在 4.5 MHz ~ 45 MHz 时额定值以 20 dB/10 倍频程比率下降;
45 MHz ~ 450 MHz 时额定值以 14 dB/10 倍频程比率下降;> 450 MHz 时,5.5 VRMS
- 有效位 (ENOB),典型值
- < 2 GHz 型号,高分辨率模式,50 Ω,10 MHz 输入,90% 全屏
带宽 ENOB 1 GHz 7.6 500 MHz 7.9 350 MHz 8.2 250 MHz 8.1 20 MHz 8.9 - 2 GHz 型号,高分辨率模式,50 Ω,10 MHz 输入,90% 全屏
带宽 ENOB 1 GHz 7.0 250 MHz 7.8 20 MHz 8.7
- 随机噪声,RMS,典型值
- 2 GHz 型号,高分辨率模式 (RMS)
2 GHz 型号 50 Ω 1 MΩ V/div 1 GHz 250 MHz 20 MHz 500 MHz 250 MHz 20 MHz ≤1 mV/div 3 66.8 μV 66.8 μV 27.2 μV 208 μV 117 μV 64.6 μV 2 mV/div 4 96.9 μV 77.5 μV 28.5 μV 224 μV 117 μV 66.7 μV 5 mV/div 5 202 μV 108 μV 37.4 μV 238 μV 133 μV 68.7 μV 10 mV/div 275 μV 147 μV 56.1 μV 277 μV 173 μV 83.6 μV 20 mV/div 469 μV 251 μV 106 μV 416 μV 278 μV 125 μV 50 mV/div 1.10 mV 589 μV 253 μV 916 μV 620 μV 271 μV 100 mV/div 2.75 mV 1.47 mV 602 μV 1.90 mV 1.36 mV 603 μV 1 V/div 18.4 mV 10.8 mV 4.68 mV 20.3 mV 14.6 mV 6.54 mV
- 1 GHz,500 MHz,350 MHz 型号,高分辨率模式 (RMS)
< 2 GHz 型号 50 Ω 1 MΩ V/div 1 GHz 500 MHz 350 MHz 250 MHz 20 MHz 500 MHz 350 MHz 250 MHz 20 MHz ≤1 mV/div 6 254 μV 198 μV 141 μV 118 μV 70.0 μV 189 μV 143 μV 118 μV 64.8 μV 2 mV/div 255 μV 198 μV 143 μV 121 μV 70.4 μV 194 μV 145 μV 121 μV 66.0 μV 5 mV/div 262 μV 202 μV 150 μV 133 μV 72.8 μV 196 μV 152 μV 130 μV 69.6 μV 10 mV/div 283 μV 218 μV 169 μV 158 μV 79.8 μV 212 μV 167 μV 154 μV 78.2 μV 20 mV/div 357 μV 273 μV 222 μV 223 μV 102 μV 269 μV 214 μV 223 μV 104 μV 50 mV/div 677 μV 516 μV 436 μV 460 μV 196 μV 490 μV 410 μV 480 μV 207 μV 100 mV/div 1.61 mV 1.23 mV 1.02 mV 1.04 mV 464 μV 1.16 mV 964 μV 1.05 mV 475 μV 1 V/div 13.0 mV 9.88 mV 8.41 mV 8.94 mV 3.77 mV 13.6 mV 10.6 mV 11.1 mV 5.47 mV
- 位置范围
- ±5 格
- 最大偏置范围
- 输入信号不得超过 50 Ω 输入路径的最大输入电压。
V/div 设置 最大偏置范围,50 Ω 输入 500 µV/div - 99 mV/div ±1 V 100 mV/div - 1 V/div ±10 V
- 2 GHz 型号
V/div 设置 最大偏置范围,50 Ω 输入 500 µV/div - 50 mV/div ±1 V 51 mV/div - 99 mV/div ±(-10 *(V/div 设置)+ 1.5 V) 100 mV/div - 500 mV/div ±10 V 501 mV/div - 1 V/div ±(-10 *(V/div 设置)+ 15 V) V/div 设置 最大偏置范围,1 MΩ 输入 500 µV/div - 63 mV/div ±1 V 64 mV/div - 999 mV/div ±10 V 1 V/div - 10 V/div ±100 V - ≤ 1 GHz 型号
V/div 设置 最大偏置范围 50 Ω 输入 1 MΩ 输入 500 µV/div - 63 mV/div ±1 V ±1 V 64 mV/div - 999 mV/div ±10 V ±10 V 1 V/div - 10 V/div ±10 V ±100 V
- 输入信号不得超过 50 Ω 输入路径的最大输入电压。
- 偏置精度
±(0.005 X | 偏置 - 位置 | + DC 平衡 )
- 串扰(通道隔离度),典型值
- ≥ 200:1,对 V/div 设置相等的任意两条通道直到额定带宽
- DC 均衡
0.1 div, DC-50 Ω 示波器输入阻抗(50 Ω BNC 端接)
0.2 div @ 1 mV/div,DC-50 Ω 示波器输入阻抗(50 Ω BNC 端接)
0.4 div @ 500 μV/div,DC-50 Ω 示波器输入阻抗(50 Ω BNC 端接)
0.2 div, DC-1 MΩ 示波器输入阻抗(50 Ω BNC 端接)
0.4 div @ 500 μV/div,DC-1 MΩ 示波器输入阻抗(50 Ω BNC 端接)
垂直系统 – 数字通道
- 通道数量
- 安装的每只 TLP058 有 8 个数字输入 (D7-D0) (有一条模拟通道)
- 垂直分辨率
- 1 位
- 最大输入切换速率
- 500 MHz
- 可检测的最小脉宽, 典型值
300 ps
- 阈值
- 每条数字通道一个阈值
- 阈值范围
- ±40 V
- 阈值分辨率
- 10 mV
- 阈值精度
± [100 mV + 校准后3%的阈值设置]
- 输入通道迟滞,典型值
- 在探头端部 100 mV
- 输入动态范围, 典型值
- 30 Vpp 对 Fin ≤ 200 MHz, 10 Vpp 对 Fin > 200 MHz
- 绝对最大输入电压, 典型值
±42 V 峰值
- 最小电压摆幅, 典型值
400 mV 峰峰值
- 输入阻抗, 典型值
- 100 kΩ
- 探头负载,典型值
- 2 pF
水平系统
- 时基范围
- 200 ps/div ~ 1,000 s/div
- 采样速率范围
1.5625 S/s ~ 6.25 GS/s(实时)
12.5 GS/s ~ 500 GS/s(插补)
- 记录长度范围
- 标准
- 1 k 点 ~ 62.5 M 点,单个样点递增
- 选配 5-RL-125M
- 125 M 点
- 选配 5-RL-250M
- 250 M 点
- 选配 5-RL-500M
- 500 M 点
- 孔径不确定度
≤ 0.450 ps +(1 * 10-11 * 测量持续时间)RMS,适用于持续时间 ≤100ms 的测量
- 时基精度
±2.5 x 10-6 在任意 ≥1 ms 时间间隔上
说明 技术指标 出厂容差 ±5.0 x10-7。 在校准时,23 °C 环境温度,在任意 ≥1 ms 间隔上
温度稳定性 ±5.0 x10-7 。 在工作温度下测试
晶体老化 ±1.5 x 10-6 。 频率容限在 1 年期内的变化率(@ 25 °C)
- 时间增量测量精度,额定

(假定边沿形状根据高斯滤器响应生成)
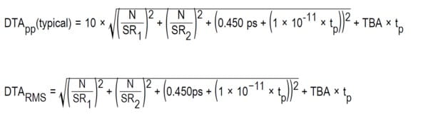
对于给定的仪器设置和输入信号,计算时间增量测量精度 (DTA) 的公式(假设忽略高于奈奎斯特频率的信号量),其中:
SR 1 = 转换速率(第 1 个边沿)在第 1 个测量点周围
SR 2 = 转换速率 (第 2 个边缘边沿)在第 2 个测量点周围
N = 输入参考保障噪声极限值 (VRMS)
TBA = 时基精度或基准频率误差
t p = 增量时间测量持续时间 (s)
- 最高采样率下的最大持续时间
10 ms(标配记录长度)或 80 ms(最大选配记录长度)
- 时基延迟时间范围
- -10 格 ~ 5,000 s
- 时延校正范围
-125 ns 至 +125 ns,分辨率为 40 ps
- 模拟通道间延迟,全带宽,典型值
≤ 100 ps,对任意两条通道,输入阻抗设置为 50 Ω,DC 耦合,V/div 相等或高于 10 mV/div
- 模拟通道和数字 FlexChannel 通道之间延迟,典型值
- < 1 ns,使用 TLP058 及与示波器带宽匹配的无源探头,没有应用带宽限制
- 任意两条数字 FlexChannel 通道之间的延迟,典型值
- 320 ps
- 数字 FlexChannel, 通道任意两位之间的延迟, 典型值
- 200 ps
触发系统
- 触发模式
- 自动、正常和单次
- 触发耦合
DC,高频抑制(衰减 > 50 kHz),低频抑制(衰减 < 50 kHz),噪声抑制(降低灵敏度)
- 触发释抑范围
- 0 ns 至 10 秒
- 边沿类型触发灵敏度,DC 耦合,典型值
路径 范围 技术指标 1 MΩ 路径(所有型号) 0.5 mV/div 至 0.99 mV/div 5 mV,DC ~ 仪器带宽 ≥ 1 mV/div 5 mV 或 0.7 div,以高者为准,DC ~ <500 MHz 或仪器带宽;6 mV 或 0.8 div,以高者为准,> 500 MHz ~ 仪器带宽 50 Ω 路径,1 GHz,500 MHz,350 MHz 型号 5.6 mV 或 0.7 div,以高者为准,DC ~ < 500 MHz 或仪器带宽;7 mV 或 0.8 div,以高者为准,> 500 MHz ~ 仪器带宽 50 Ω 路径,2 GHz 型号 0.5 mV/div 至 0.99 mV/div 3.0 div,DC ~ 仪器带宽 1 mV/div 至 9.98 mV/div 1.5 div,DC ~ 仪器带宽 ≥ 10 mV/div < 1.0 div,DC ~ 仪器带宽 线路 固定值
- 触发抖动,典型值
≤ 5 psRMS ,采样模式和边沿型触发
≤ 7 psRMS ,边沿型触发和 FastAcq 模式
≤ 40 psRMS,非边沿类型触发模式
- 触发电平范围
源 范围 任意通道 距屏幕中心 ±5 格 线路 固定在线路电压的大约 50% 这些指标适用于逻辑阈值和脉冲阈值。
- 触发频率计数器
- 8 位 (产品注册后免费)
- 触发类型
- 边沿:
- 任何通道正斜率、负斜率或任一斜率。耦合包括直流、交流、噪声抑制、高频抑制和低频抑制。
- 脉冲宽度:
触发正脉冲宽度或负脉冲宽度。可以用时间或者逻辑值来限定事件
- 超时:
- 当事件在指定时间内一直保持高、低或高低时触发。事件可以按逻辑判定
- 欠幅:
- 在一个脉冲超过第一个阈值,但是未能超过第二个阈值时触发采集。可以用时间或者逻辑值来限定事件
- 窗口:
- 在事件进入、超出、保持在用户可调节的两个阈值确定的窗口范围内、范围外时触发采集。可以用时间或者逻辑值来限定事件
- 逻辑:
- 在逻辑码型变成真、变成假或与时钟边沿一致时触发采集。为所有输入通道指定(AND, OR, NAND, NOR) 可以定义为高、低或任意。变成真的逻辑码型可以根据时间判定
- 建立和保持时间:
- 当任意输入通道中存在的时钟和数据之间的建立时间和保持时间超过阈值时触发
- 上升/下降时间:
- 在脉冲边沿变化速率快于或慢于指定速率时触发。跳变沿可以为正、负或正负。事件可以按逻辑判定
- 视频(选项 5-VID):
- 在 NTSC、PAL 和 SECAM 视频信号上的所有行(奇偶)或所有场上触发。
- 序列:
- 触发 B 事件 X 次,或复位 C 事件,在 A 事件后触发 N 个事件。一般来说,A 和 B 触发事件可以设置成任何触发类型,有少数例外:不支持逻辑判定,如果 A 事件或 B 事件设置成建立时间和保持时间,那么其他事件必须设置成边沿,且不支持以太网和高速 USB (480 Mbps)
- 可视触发
- 通过扫描所有波形采集,并把它们与屏幕上的区域(几何形状)进行对比,来判定标准触发。每个区域使用 输入、输出 或 任意 作为判定符,确定的区域没有上限。可以使用任意组合的可视触发区域定义布尔表达式,进一步判定采集内存中存储的事件。形状有矩形、三角形、梯形、六边形及用户自定义形状。
- 并行总线:
- 在并行总线数据值上触发。并行总线长度可以是 1 位到 64 位 (从数字通道和模拟通道)。支持二进制和十六进制 基数
- I2C 总线 (选项 5-SREMBD):
- 在 I2C 总线上出现启动、重复启动、停止、、地址(7 位或 10 位)、数据或地址和数据时触发,高达 10 Mb/s
- I3C 总线(选项 5-SRI3C)
- 在 I3C 总线上出现启动、重复启动、停止、地址、数据、I3C SDR 直连、I3C SDR 广播、未确认、T 误码、广播地址错误、Hot-Join、HDR 重新启动、HDR 退出事件时触发,高达 10 Mb/s
- SPI 总线(选项 5-SREMBD):
- 在高达 20 Mb/s 的 SPI 总线的 Slave Select、Idle Time 或 Data(1-16 个字)上触发采集
- RS-232/422/485/UART Bus (option 5-SRCOMP):
- 触发高达 15 Mb/s 的开始位、包尾、数据和奇偶性错误
- CAN 总线 (选项 5-SRAUTO):
- 在高达 1 Mb/s 的 CAN 总线的帧头、帧类型(数据帧、远程帧、错误帧或过载帧)、标识符、数据、标识符和数据、EOF、未确认、位填充错误上触发采集
- CAN FD 总线 (选项 5-SRAUTO):
- 在高达 16 Mb/s 的 CAN FD 总线的帧头、帧类型(数据、远程、错误或过载)、标识符(标准或扩展)、数据(1-8 字节)、标识符和数据、帧尾、错误(丢失确认、位填充错误、FD 格式错误、任何错误)上触发
- LIN 总线 (选项 5-SRAUTO):
- 在高达 1 Mb/s 的 LIN 总线的同步、标识符、数据、标识符和数据、唤醒帧、睡眠帧、错误上触发采集
- FlexRay 总线 (选项 5-SRAUTO):
- 在高达 10 Mb/s 的 FlexRay 总线的帧头、指示符位(正常、净荷、空、同步、启动)、周期数、包头字段(指示符位、标识符、净荷长度、包头 CRC 和周期数)、标识符、数据、标识符和数据、帧尾、错误上触发采集
- SENT 总线 (选项 5-SRAUTOSEN)
- 触发包头、快速通道状态和数据、低速通道消息号和数据及 CRC 错误
- SPMI 总线 (选项 5-SRPM):
- 触发序列开头条件、复位、睡眠、关闭、唤醒、认证、主读取、主写入、寄存器读取、寄存器写入、扩展寄存器读取、扩展寄存器写入、扩展寄存器读取长、扩展寄存器写入长、器件描述符码组主读取、器件描述符码组从读取、寄存器 0 写入、传送总线拥有和奇偶性错误
- USB 2.0 LS/FS/HS 总线 (选项 5-SRUSB2):
- 在高达 480 Mb/s 的 USB 总线的同步、复位、暂停、恢复、包尾、令牌(地址)包、数据包、握手包、专用包、错误上触发采集
- 以太网总线 (选项 5-SRENET):
- 在 10BASE-T 和 100BASE-TX 总线上触发帧头、MAC 地址、MAC Q 标签、MAC 长度/类型、MAC 数据、IP 包头、TCP/IPV4 数据、包尾和 FCS (CRC) 错误上触发采集
- 音频(I2S、LJ、RJ、TDM)总线(选项 5-SRAUDIO):
- 触发字选择、帧同步或数据。I2S/LJ/RJ 最大数据速率为 12.5 Mb/s。TDM 的最大数据速率是 25 Mb/s
- MIL-STD-1553 总线 (选项 5-SRAERO):
- 在 MIL-STD-1553 总线的同步、命令(传输/接收位、奇偶校验、子地址/模式、字数/模式数、RT 地址)、状态(奇偶校验、消息错误、仪器、服务请求、接收的广播命令、繁忙、子系统标记、动态总线控制接收、终端标记)、数据、时间 (RT/IMG) 和错误(奇偶校验错误、同步错误、曼彻斯特错误、非连续数据)上触发
- ARINC 429 总线 (选项 5-SRAERO):
- 在高达 1 Mb/s 的 ARINC 429 总线上触发字开头、标签、数据、标签和数据、字结尾、错误(任意错误、奇偶性错误、字错误、间隙错误)
- RF 幅度与时间以及 RF 频率与时间(选项 5-SV-RFVT):
- 边沿、脉冲宽度和超时事件触发
采集系统
- 采样
- 采集的样点值
- 峰值检测
- 在所有扫描速度下捕获最窄 640 ps 的毛刺
- 平均
- 2 ~ 10,240 个波形
- 最大平均速度 = 180 个波形/秒
- 快速硬件平均
一种短时间内采集大量平均值的采集模式。快速硬件平均可优化采集路径,减小存储截断误差,并通过可选偏移抖动技术消除小尺度非线性缺陷。此功能可通过编程接口命令获得。
2 ~ 1,000,000 个波形
最大平均速度 = 32,000 个波形/秒
- 包络
- Min-max包络,反映多次采集中的峰值检测数据
- 高分辨率
对每种采样率应用唯一的有限脉冲响应 (FIR) 滤波器,对该采样率保持最大带宽,同时在超过选定采样率的可用带宽时,防止假信号,消除示波器放大器和 ADC 的噪声。
高分辨率模式始终提供最低 12 位垂直分辨率,在 ≤125 MS/s 采样率下最高可达 16 位垂直分辨率。
- FastAcq®
FastAcq 优化了仪器,捕获速率 >500,000 波形/秒(一条通道活动时;所有通道活动时 >100K 波形/秒),可以分析动态信号,捕获偶发事件。
- 滚动模式
- 处于自动触发模式时,在慢于 40 ms/div 或更慢的时基设定,在屏幕中从右到左滚动序列波形点。
- 历史记录模式
- 利用最大记录长度,允许捕获大量已触发的采集,可在看到关注的信息时停止,并可快速查阅所有存储的已触发采集。
历史记录中存储的可用采集数为(最大记录长度)/(当前的记录长度设置值)。
- FastFrame™
采集内存分为数段。
最大触发速率为每秒 >5,000,000 个波形
最小帧大小 = 50 个样点
最大帧数:对于帧大小 ≥ 1,000 个样点,最大帧数 = 记录长度/帧大小。
对于 50 点帧,最大帧数 = 1,000,000
波形测量
- 光标类型
- 波形,垂直条,水平条,垂直和水平条和极坐标(仅限 XY/XYZ 绘图)
- DC 电压测量精度,平均采集模式
测量类型 DC 精度 (V) ≥ 16 个波形的平均值 ±(DC 增益精度) * |读数 - (偏置 - 位置)| + 偏置精度+ 0.1 * V/div 设置) 在相同的示波器设置和环境条件下,所采集 16 个以上波形的任何两组平均值之间的电压增量 ±(DC 增益精度 * |读数| + 0.05 div)
- 自动测量
36 种,可以显示为单独测量标签或一起显示在测量结果表中的测量数量没有上限
- 幅度测量
幅度, 最大值, 最小值, 峰峰值, 正过冲, 负过冲, 中间值, RMS, AC RMS, 顶部, 底部, 面积
- 定时测量
周期、频率、单位间隔、数据速率、正脉冲宽度、负脉冲宽度、时滞、延迟、上升时间、下降时间、相位、上升转换速率、下降转换速率、突发宽度、正占空比、负占空比、电平范围外的时间、建立时间、保持时间、持续时间 N 个周期、高电平时间、低电平时间、达到最小值的时间和达到最大值的时间
- 抖动测量 (标配)
- TIE 和相位噪声
- 测量统计
- 中间值, 标准方差, 最大值, 最小值, 样本总量。在当前采集和所有采集中均提供统计数据
- 参考电平
- 用户可定义的参考电平用于自动测量,可以百分比或单位形式指定。参考电平可以设置成全局,适用于所有测量、每条源通道或每个信号,也可以设置为每项测量唯一
- 选通
- Screen(屏幕)、Cursors(光标)、Logic(逻辑)、Search(搜索)或 Time(时间)。指定进行测量的采集区域。选通可以设置成 Global(全局)(影响所有设置成 Global(全局)的测量)或 Local(本地)(所有测量可以有唯一的 Time(时间)门设置;只有一个 Local(本地)门用于 Screen(屏幕)、Cursors(光标)、Logic(逻辑)和 Search(搜索)操作)。
- 测量绘图
- 直方图,时间趋势图,频谱图,眼图(仅用于 TIE 测量),相位噪声图(仅用于相位噪声测量)
- 测量限制
- 测量值的用户可定义限制的通过/不通过测试。针对事件发生测量值故障事件的行动,包括保存屏幕捕获、保存波形、系统请求 (SRQ) 和停止采集
- 抖动分析(选项 5-DJA)增加了下述功能:
- 测量
抖动摘要、TJ@BER、RJ- δδ、DJ- δδ、PJ、RJ、DJ、DDJ、DCD、SRJ、J2、J9、NPJ、F/2、F/4、F/8、眼图高度、眼图高度@BER、眼图宽度、眼图宽度@BER、眼高幅度、眼低幅度、Q 因数、高位、低位、位幅度、DC 共模、AC 共模(峰峰值)、差分交点、T/nT 比、SSC 频率方差、SSC 调制速率
- 测量绘图
- 眼图和抖动浴盆曲线
- 快速眼图渲染:显示定义眼图边界的单位间隔 (UI) 以及用户指定的眼图周围 UI 数量,以增加视觉效果
- 完整眼图渲染:显示所有有效的单位间隔 (UI)
- 测量限制
- 测量值的用户可定义限制的通过/不通过测试。针对事件发生测量值故障事件的行动,包括保存屏幕捕获、保存波形、系统请求 (SRQ) 和停止采集
- 眼图模板测试
具有模板自动调整功能的自动模板通过/不通过测试
- 功率分析(选项 5-PWR)增加了下述功能:
- 测量
输入分析(频率、VRMS、IRMS、电压和电流波峰因数、真实功率、视在功率、无功功率、功率因数、相位角、谐波、涌入电流、输入电容)
幅度分析(周期幅度、周期顶部、周期底部、周期最大值、周期最小值、周期峰峰值)
定时分析(周期、频率、负占空比、正占空比、负脉冲宽度、正脉冲宽度)
开关分析(开关损耗、dv/dt、di/dt、安全作业区、RDSon)
磁性分析(电感、I 与 Intg(V)、磁性损耗、磁性属性)
输出分析(线路纹波、开关纹波、效率、导通时间、关断时间)
频率响应分析(控制环路响应博特图、电源抑制比、阻抗)
- 测量绘图
- 谐波柱状图、开关损耗轨迹图和安全作业区
- 测量限制
- 测量值的用户可定义限制的通过/不通过测试。针对事件发生测量值故障事件的行动,包括保存屏幕捕获、保存波形、系统请求 (SRQ) 和停止采集
- 逆变器电机驱动器分析(选项 5-IMDA)增加了下述功能:
- 测量
输入分析(电能质量、谐波、输入电压、输入电流和输入功率)
纹波分析(线路纹波和开关纹波)
输出分析(相量图和效率)
DQ0 分析 (DQ0) 需要选项 5-IMDA-DQ0
- 测量绘图
- 谐波条形图和相量图
- 逆变器电机驱动分析机械测量(选项 5-IMDA-MECH:需要选项 5-IMDA)增加了下述功能:
- 支持的传感器
- 霍尔传感器、QEI(正交编码器接口)
- 测量
电气分析(电能质量、谐波、纹波、DQ0 和效率)
机械分析(速度、加速度、角度(QEI 方法)、方向和扭矩)
- 测量绘图
- 时间趋势、采集趋势、相量图、谐波条形图、DQ0 和直方图(速度分布)
- 数字电源管理(选项 5-DPM)增加了下述功能:
- 测量
- 纹波分析(纹波)
- 瞬态分析(过冲,下冲,开启过冲,直流电源轨电压)
- 功率序列分析(开、关)
- 抖动分析(TIE、PJ、RJ、DJ、 眼图高度、眼图宽度、眼图高、眼图低)
- PI/SI 分析 (PSIJ)
- 基本数字功率管理(选项 5-DPMBAS)增加了下述功能:
- 测量
纹波分析(纹波)
瞬态分析(过冲、下冲)
功率序列分析(开、关)
- LVDS 调试和分析选项(选项 5-DBLVDS)增加了下述功能:
- 数据通路测量
通用测试(单位间隔,上升时间,下降时间,数据宽度,数据内时滞 (PN),数据间时滞(通路至通路),数据峰峰值)
抖动测试(AC 时序,时钟数据设置时间,时钟数据保持时间,眼图 (TIE),TJ @ BER,DJ Delta,RJ Delta,DDJ,去加重级别)
- 时钟通路测量
通用测试(频率,周期,占空比,上升时间,下降时间,时钟内时滞 (PN),时钟峰峰值)
抖动测试(TIE,DJ 和 RJ)
SSC 开启(调制速率,频率偏差平均值)
波形数学
- 数学通道数量
- 没有上限
- 代数
- 加、减、乘、除波形和标量
- 数学表达式
- 定义广泛的数学表达式,包括波形、标量、用户可调节变量和参数测量结果,使用复杂公式执行数学运算。例如(Integral (CH1 - Mean(CH1)) X 1.414 X VAR1)
- 数学函数
- 倒置, 积分, 差分, 平方根, 指数, Log 10, Log e, Abs, Ceiling, Floor, 最小值, 最大值, 度, 弧度, Sin, Cos, Tan, ASin, ACos, ATan
- 关系运算
- 布尔比较关系结果>, <, ≥, ≤, =, ≠
- 逻辑
- AND, OR, NAND, NOR, XOR 和 EQV
- 滤波功能(标配)
- 用户自定义滤波器加载。用户指定一个包含滤波系数的滤波器。
- 滤波功能(选项 5-UDFLT)
- 滤波器类型
- 低通、高通、带通、带阻、全通、希尔伯特、微分器和自定义
- 滤波器响应类型
- 巴特沃斯、切比雪夫 I 型、切比雪夫 II 型、椭圆l、高斯 和 贝塞尔-托马森
- FFT 功能
- 频谱幅度和相位, 实数和虚数频谱
- FFT 垂直单位
幅值:线性和对数 (dBm)
相位:度、弧度和群时延
- FFT 窗函数
- 汉宁、矩形、汉明、布莱克曼-哈里斯、Flattop2、高斯、凯泽-贝塞尔 和 TekExp
频谱视图
- 中心频率
- 受到仪器模拟带宽限制
- 频宽
- 18.6 Hz ~ 312.5 MHz
18.6 Hz ~ 500 MHz(包括选项 5-SV-BW-1)
按 1-2-5 顺序粗调
- RF 测量
- 频谱视图谱线数据和显示屏上的通道功率 (CHP)、邻道功率比 (ACPR) 和占用带宽 (OBW) 测量值
- RF 与时间光迹
- 幅度与时间、频率与时间、相位与时间(包括选项 5-SV-RFVT)
- RF 与时间触发
- 边沿、脉冲宽度和 RF 幅度与时间以及 RF 频率与时间的超时触发(包括选项 5-SV-RFVT)
- 频谱图
- RF 频率、时间与振幅显示,其中 x 轴上显示频率,y 轴上显示时间,以及由颜色变化指示的功率级别(包括选项 5-SV-RFVT)
- 解析带宽 (RBW)
93 μHz ~ 62.5 MHz
93 μHz ~ 100 MHz(包括选项 5-SV-BW-1)
- IQ 捕获
- 数据存储为同相和正交 (I&Q) 样本,并且时域数据和 I&Q 数据之间保持精确同步。
- 激活 RF 与时间光迹(包括选项 5-SV-RFVT)时,可以捕获 IQ 数据并将其导出到文件中,以便在第三方应用程序中进行更多分析。
- 最长采集时间随频宽和采样率不同而异。在 6.25 GS/s 和 500 MHz 频宽下,最长采集时间为 0.086 秒。对于 312.5 MHz 频宽,最长采集时间为 0.172 秒。对于 40 MHz 频宽,最长采集时间为 0.687 秒。对于 1 MHz 频宽,最长采集时间为 43.980 秒。
- 窗口类型和因数
窗口类型 因数 布莱克曼窗 1.90 平顶 2 3.77 汉明窗 1.30 汉宁窗 1.44 凯塞-贝塞尔窗 2.23 矩形 0.89
- 频谱时间
- FFT 窗口因数 / RBW
- 参考电平
- 参考电平由模拟通道 Volts/div 设定值自动设置
设置范围:-42 dBm ~ +44 dBm
- 垂直位置
- -100 divs ~ +100 divs
- 垂直单位
- dBm, dBµW, dBmV, dBµV, dBmA, dBµA
- 垂直标度
- 线性,日志
- 水平标度
- 线性,日志
- 多通道频谱分析
- 每个 FlexChannel 输入都可以配置有频谱视图、RF 与时间光迹(包括选项 RFVT)和光谱(包括选项 RFVT)。
- 多个 RF 测量可在多个通道上同时执行。
- 频谱时间和中心频率设置可以解锁,并在通道之间相互独立移动。所有频谱视图通道必须共享相同的频宽、分辨率带宽和窗口类型。
搜索
- 搜索数量
- 没有上限
- 搜索类型
- 搜索长记录,找到用户指定标准的所有发生时点,包括边沿、脉冲宽度、超时、欠幅脉冲、窗口违规、逻辑码型、建立时间和保持时间违规、上升/下降时间和总线协议事件。可以在波形视图或结果表格中查看搜索结果。
保存
- 保存
- 将文件直接保存到示波器、远程网络硬盘或您的 TekDrive 协作工作区。
- 波形类型
- Tektronix 波形数据 (.wfm),逗号分隔值 (.csv),MATLAB (.mat)
- 波形选通
- 光标,屏幕,重新采样(保存每个第 n 个样本)
- 截屏类型
- 便携式网络图形 (*.png),24 位位图 (*.bmp), JPEG (*.jpg)
- 设置类型
- 米乐m6网页版登录入口设置 (.set)
- 报告类型
- Adobe 便携文档 (.pdf),单文件网页 (.mht)
- 会话类型
- 米乐m6网页版登录入口会话设置(.tss)
显示器
- 显示器类型
- 15.6 英寸(395 毫米)液晶 TFT 彩色显示器
- 显示器分辨率
- 1,920 水平像素 × 1,080 垂直像素(高清)
- 显示模式
重叠: 传统示波器显示模式,轨迹彼此叠加在一起
堆叠:在这种显示模式中,每个波形都放在自己的片段中,可以利用整个 ADC 范围,同时在查看时仍能与其他波形分开。多组通道还可以叠加在一个片段内部,简化目测对比信号。
- 缩放
- 所有波形视图和示图均支持水平缩放和垂直缩放。
- 插值
- Sin(x)/x 和线性
- 波形样式
- 矢量, 点, 可变余辉, 无穷大余辉
- 格线
- 可移动格线和固定格线,多种类型可供选择:网格、时间、全部和无
- 调色板
正常和屏幕捕获反相
单个波形颜色可由用户选择
- 格式
- YT、XY 和 XYZ
- 本地语言用户界面
- 英语, 日语, 简体中文, 繁体中文, 法语, 德语, 意大利语, 西班牙语, 葡萄牙语, 俄语, 韩语
- 本地语言帮助
- 英语、日语、简体中文
任意函数发生器 (选配)
- 操作模式
- 关闭、连续、突发脉冲
- 函数类型
- 任意波形、正弦波、方波、脉冲、锯齿波、三角波、DC 电平、高斯、洛伦兹、指数上升/下降、Sin(x)/x、随机噪声、半正矢曲线、心电图
- 正弦波形
- 频率范围
- 0.1 Hz ~ 50 MHz
- 频率设置分辨率
- 0.1 Hz
- 频率精度
130 ppm (频率 ≤ 10 kHz),50 ppm (频率> 10 kHz)
这仅适用于正弦波、锯齿波、方波和脉冲波形。
- 幅度范围
- 20 mVpp - 5 Vpp,Hi-Z;10 mVpp - 2.5 Vpp,50 Ω
- 幅度平坦度,典型值
±0.5 dB @ 1 kHz
±1.5 dB @ 1 kHz,幅度 < 20 mVpp
- 总体谐波失真,典型值
1%,幅度 ≥ 200 mVpp 至 50 Ω 负载
2.5%,幅度 > 50 mV 且 < 200 mVpp 至 50 Ω 负载
这只适用于正弦波。
- 无杂散动态范围,典型值
40 dB (Vpp ≥ 0.1 V);30 dB (Vpp ≥ 0.02 V),50 Ω 负载
- 方波和脉冲波形
- 频率范围
- 0.1 Hz ~ 25 MHz
- 频率设置分辨率
- 0.1 Hz
- 频率精度
- 130 ppm (频率 ≤ 10 kHz),50 ppm (频率> 10 kHz)
- 幅度范围
- 20 mVpp - 5 Vpp 至 Hi-Z;10 mVpp - 2.5 Vpp 至 50 Ω
- 占空比范围
10% - 90% 或 10 ns 最小脉冲,以高者为准
最小脉冲时间适用于开点时间和闭点时间,因此最大占空比在更高频率时会下降,以保持 10 ns 闭点时间
- 占空比分辨率
- 0.1%
- 最低脉冲宽度,典型值
- 10 ns。这是开点或闭点时长的最短时间。
- 上升/下降时间,典型值
- 5 ns,10% - 90%
- 脉冲宽度分辨率
- 100 ps
- 过冲,典型值
- < 6%,信号步长 > 100 mVpp 时
这适用于正向跳变过冲(+过冲)和负向跳变过冲(-过冲)
- 对称度,典型值
- ±1% ±5 ns,50% 占空比
- 抖动,典型值
- < 60 ps TIERMS,≥ 100 mVpp 幅度,40%-60% 占空比
- 锯齿波和三角波形
- 频率范围
- 0.1 Hz ~ 500 kHz
- 频率设置分辨率
- 0.1 Hz
- 频率精度
- 130 ppm (频率 ≤ 10 kHz),50 ppm (频率> 10 kHz)
- 幅度范围
- 20 mVpp - 5 Vpp 至 Hi-Z;10 mVpp - 2.5 Vpp 至 50 Ω
- 可变对称性
- 0% - 100%
- 对称分辨率
- 0.1%
- DC 电平范围
±2.5 V, Hi-Z
±1.25 V, 50 Ω
- 随机噪声幅度范围
20 mVpp ~ 5 Vpp 至 Hi-Z
10 mVpp ~ 2.5 Vpp 至 50 Ω
- Sin(x)/x
- 最大频率
- 2 MHz
- 高斯脉冲, 半正弦, 洛伦兹脉冲
- 最大频率
- 5 MHz
- 洛伦兹脉冲
- 频率范围
- 0.1 Hz ~ 5 MHz
- 幅度范围
- 20 mVpp ~ 2.4 Vpp 至 Hi-Z
10 mVpp ~ 1.2 Vpp 至 50 Ω
- 心电图
- 频率范围
- 0.1 Hz ~ 500 kHz
- 幅度范围
- 20 mVpp ~ 5 Vpp 至 Hi-Z
10 mVpp ~ 2.5 Vpp 至 50 Ω
- 任意波形
- 存储深度
- 1 至 128 k
- 幅度范围
- 20 mVpp ~ 5 Vpp 至 Hi-Z
10 mVpp ~ 2.5 Vpp 至 50 Ω
- 重复率
- 0.1 Hz ~ 25 MHz
- 采样率
- 250 MS/s
- 信号幅度精度
- ±[ (1.5%的峰峰值幅度设置) + (1.5%的绝对DC偏置设置) + 1 mV ] (频率 = 1 kHz)
- 信号幅度分辨率
1 mV (Hi-Z)
500 μV (50 Ω)
- 正弦波和锯齿波频率精度
- 1.3 x 10-4(频率 ≤10 kHz)
- 5.0 x 10-5(频率 >10 kHz)
- 直流偏置范围
±2.5 V, Hi-Z
±1.25 V, 50 Ω
- 直流偏置分辨率
1 mV (Hi-Z)
500 μV (50 Ω)
- DC 偏置精度
±[ (1.5%的绝对偏置电压设置) + 1 mV ]
从 25 °C 环境温度起,每变化 10 °C 不确定度增加 3 mV
数字电压表 (DVM)
- 测量类型
DC、ACRMS+DC、ACRMS
- 电压分辨率
- 4位
- 电压精度
- 直流:
±((1.5% * |读数 – 偏置 – 位置|) + (0.5% * |(偏置 – 位置)|) + (0.1 * Volts/div))
|读数 – 偏置 – 位置| 大于 30 °C 时以 0.100%/°C 下降
信号距屏幕中心 ±5 格
- 交流:
± 2% (40 Hz ~ 1 kHz),没有谐波成分落在 40 Hz ~ 1 kHz 范围外
交流,典型值:± 2% (20 Hz ~ 10 kHz)
对 AC 测量,输入通道垂直设置必须能覆盖4~10格之间的 VPP 输入信号,必须在屏幕上能够完全看得见
触发频率计数器
- 分辨率
8 位
- 精度
±(1 个 + 时基精度 * 输入频率)
信号最低 8 mVpp 或 2 div,以高者为准。
- 最大输入频率
10 Hz 到模拟通道的最大带宽
信号最低 8 mVpp 或 2 div,以高者为准。
处理器系统
- 主处理器
- Intel i5-4400E(2.7 GHz,64-bit,双核处理器)或 Intel i5-8400H(2.5 GHz,64-bit,四核处理器)新产品配置 i5-8400H 处理器。
- 操作系统
默认仪器:封闭式 Linux
安装了选项 5-WIN 的仪器:Microsoft Windows 10 7
- 储存
采用 i5-4400E 处理器的产品:≥ 80 GB。外形尺寸为内部 80 毫米 m.2 卡
采用 i5-8400H 处理器的产品:≥ 250 GB。外形尺寸是可移动固态硬盘
新产品配置 i5-8400H 处理器。
- 固态硬盘 (SSD),带 Microsoft Windows 10 操作系统(选项 5-WIN )
- ≥ 512 GB 固态硬盘。外形尺寸为 2.5 英寸 SSD 带有一个 SATA-3 接口。此硬盘可以由客户安装,包括 Microsoft Windows 10 Enterprise IoT 2016 LTSB(64 位)操作系统
输入输出端口
- DisplayPort 连接器
- 20 针 DisplayPort 连接器,连接外部监视器或投影仪,显示示波器画面
- DVI 连接器
29 针 DVI-D连接器,连接外部监视器或投影仪显示示波器画面
- VGA
DB-15孔式连接器; 连接显示外部监视器或投影仪上的示波器显示屏内容
- 探头补偿器信号,典型
- 连接:
- 连接器位于仪器正面的下侧
- 幅度:
- 0 ~ 2.5 V
- 频率:
- 1 kHz
- 源阻抗:
- 1 kΩ
- 外部参考输入
时基系统可以锁相到外部 10 MHz 参考信号 (±4 ppm)。
- USB 接口(主控,设备端口)
前面板 USB 主控端口两个 USB 2.0 高速端口,一个 USB 3.0 SuperSpeed 端口
后面板 USB 主控端口两个 USB 2.0 高速端口,两个 USB 3.0 SuperSpeed 端口
后面板 USB 设备端口一个 USB 3.0 SuperSpeed 设备端口,可提供 USBTMC 支持
- 以太网接口
- 10/100/1000 Mb/s
- 辅助输出
后面板 BNC 连接器。输出可以配置成在示波器触发时提供一个正或负脉冲输出、内部示波器基准时钟输出或 AFG 同步脉冲
特点 限值 Vout (HI) ≥ 2.5 V 开路;≥ 1.0 V,50 Ω 负载到地 Vout (LO) ≤ 0.7 V,≤ 4 mA 负载;≤0.25 V,50 Ω 对地负载
- Kensington 式锁
- 后面安全插槽连接标准Kensington式锁
- LXI
类别:LXI Core 2011
版本:1.4
电源
- 功率
- 功耗
最大 400 W
- 电源电压
100 - 240 V ±10% @ 50 Hz - 60 Hz
115 V ±10% @ 400 Hz ±10%
物理特性
- 尺寸
高:12.2 in (309 mm),支脚折叠,把手收回
高:14.6 in (371 mm),支脚折叠,把手抬起
宽:17.9 in (454 mm),从把手中心到把手中心
厚:8.0 in (205 mm),从支脚后面到旋钮前面,把手抬起
厚:11.7 in (297.2 mm),支脚折叠,把手收回
- 重量
- < 25 磅 (11.4 kg)
- 冷却
- 仪器右侧(从仪器正面看)及仪器后面提供充足冷却的间隙要求为 50.8 mm(2.0 英寸)
- 机架安装配置
- 7U(带可选 RM5 机架安装套件)
环境技术规格
- 温度
- 工作状态
- +0 °C - +50 °C (32 °F - 122 °F)
- 非工作状态
–20 °C 至 +60°C(–4 °F 至 140 °F)
- 湿度
- 工作状态
在不高于 40 °C 时,相对湿度 (RH) 为 5% 到 90%
+40 °C 到 +50 °C 时,相对湿度为 5% ~ 55%,无冷凝,且受到最大湿球温度 +39 °C 限制
- 非工作状态
在不高于 +40 °C时,相对湿度 (RH) 为 5% 到 90%
+40 °C 到 +50 °C 时,相对湿度为 5% ~ 39%,无冷凝,且受到最大湿球温度 +39 °C 限制
- 海拔高度
- 工作状态
- 最高 3,000 米(9,843 英尺)
- 非工作状态
- 最高 12,000 米(39,370 英尺)
EMC、环境和安全
- 法规
欧盟 CE 标志,并经过美国和加拿大UL 认证
满足 RoHS 标准
软件
- IVI 驱动程序
为常见应用(如 LabVIEW、LabWindows/CVI、Microsoft .NET 和 MATLAB)提供标配的仪器编程接口。通过 VISA 兼容 Python、C/C++/C# 及许多其他语言。
- e*Scope®
使用标准网络浏览器通过网络连接控制示波器。只需输入示波器的 IP 地址或者网络名称,即会向浏览器提供一个网页。可以直接从网络浏览器中传送和保存设置、波形、测量和截图,或实时控制设置变化。
- TekDrive
- 从任何连接设备上传、存储、组织、搜索、下载和共享任何文件类型。TekDrive 原生集成到 5 系列 MSO,用于无缝共享和调用文件 - 无需 USB 记忆棒。直接在浏览器中分析和浏览标准文件,如 .wfm、.isf、.tss 和 .csv。访问 http://www.tek.com/software/tekdrive 了解详情。
- SignalVu-PC
- 可直接在 5 系列 MSO 或单独的 Windows PC 上运行的高级矢量信号分析软件。需要在 5 系列 MSO 上安装选项 5-SV-RFVT。需要在 SignalVu-PC 上安装 Connect 许可证 (CONxx-SVPC),其中 xx 为 NL(表示节点锁定许可证)或 FL(表示浮动许可证)。
- LXI Web 界面
通过标准网络浏览器连接示波器,您只需在浏览器的地址条中输入示波器的 IP 地址或网络名称。Web 界面可以查看仪器状态和配置以及网络设置的状态和修改情况,并通过 e*Scope 网络遥控功能控制仪器。所有网络交互均满足 LXI Core 规范第 1.4 版。
- 编程实例
4/5/6 系列平台编程变得异常简便。程序员手册和 GitHub 网站提供了许多命令和实例,可以远程帮助您入门,自动操作仪器。请参阅 。
订货信息
使用下述步骤,为测量需求满足相应的仪器和选项。
第 1 步
- 先根据所需的 FlexChannel 输入通道数量选择 5 系列 MSO 型号。每个 FlexChannel 输入支持 1 个模拟输入信号或 8 个数字输入信号,可互换。
型号 FlexChannel 通道数量 MSO54 4 MSO56 6 MSO58 8
每个型号包括 每个 FlexChannel 一只无源模拟探头: - 350 MHz 或 500 MHz 带宽型号:TPP0500B 500 MHz 探头
- 1 GHz 或 2 GHz 带宽型号:TPP1000 1 GHz 探头
安装和安全手册(翻译成英语、日语、简体中文)
嵌入式帮助 前面保护罩,集成配套包 电源线 校准证书,可溯源美国国家计量学会和 ISO9001/ISO17025 质量体系认证标准 三 年保修,涵盖仪器上的所有部件和人工。 一年保修,涵盖随附探头的所有部件和人工
第 2 步
- 通过添加选项捆绑套件增加仪器功能
提供三类选项捆绑套件(入门、专业、终极),根据您的预算和应用需求提供一系列选项。有关各捆绑套件当前内容的详细信息,请访问我们的网站并查看位于 https://www.tek.com/document/brochure/software-bundles-for-the-4-5-and-6-series-mso-oscilloscopes 的软件捆绑套件说明册。
- 入门捆绑套件提供捆绑在一起的最常见串行总线解码、协议分析和硬件增强选项。
- 专业捆绑套件特定于应用程序(串行触发和解码、电源完整性、信号完整性、汽车、自动化一致性测试、军政府航空航天),并且包括入门捆绑套件中的所有选项。
- 终极捆绑套件包括入门捆绑套件中的所有选项以及所有专业捆绑套件中的所有选项。
1 年期许可证 永久许可证 捆绑套件说明 5-STARTER-1Y 5-STARTER-PER 包括 I2C、SPI、RS-232/422/UART 串行触发和分析、AFG(任意/函数发生器) 5-PRO-SERIAL-1Y 5-PRO-SERIAL-PER 包括 5-STARTER 和 125 MS/通道记录长度,另选串行分析选项 5-PRO-POWER-1Y 5-PRO-POWER-PER 包括 5-STARTER 和 125 MS/通道记录长度,选择功率分析选项 5-PRO-SIGNAL-1Y 5-PRO-SIGNAL-PER 包括 5-STARTER 和 125 MS/通道记录长度、高级抖动和选择分析选项 5-PRO-COMPL-1Y 5-PRO-COMPL-PER 包括 5-STARTER 和 125 MS/通道记录长度、高级选择自动化一致性测试选项 5-PRO-AUTO-1Y 5-PRO-AUTO-PER 包括 5-STARTER 和 125 MS/通道记录长度、高级抖动和选择汽车分析选项 5-PRO-MILGOV-1Y 5-PRO-MILGOV-PER 包括 5-STARTER 和 125 MS/通道记录长度、高级抖动、模板测试和选择串行分析选项 5-ULTIMATE-1Y 5-ULTIMATE-PER 包括 5-STARTER、所有 5-PRO 套件选项以及 500 MS/通道记录长度,RF 与时间光迹、触发、频谱图和 IQ 捕获,扩展的频谱视图捕获带宽,以及视频触发选项 - 每个购买的套件都有两个持续时间选项:
- 1 年订阅包括购买的捆绑套件的所有功能和一年免费升级;之后这些功能将被禁用。可以为选定的捆绑套件另购买 1 年期订阅。
- 永久订阅永久启用购买的捆绑套件的所有功能。永久订阅包括对捆绑套件功能集的 1 年免费升级。一年后,功能集将冻结为上次更新启用的功能集。
对于永久套件,在 1 年激活期之后,只要购买维护许可证,即可继续接收升级。维护许可证信息可在下面的维护许可证表中找到,并且必须为现有的入门版、专业版或旗舰版套件购买。
维护许可证 说明 5-STARTER-MNT-1Y 包括为 5 系列 MSO 提供为期 1 年的永久入门版套件更新 5-PRO-MNT-1Y 包括为 5 系列 MSO 提供为期 1 年的永久专业版套件更新 5-ULTIMATE-MNT-1Y 包括为 5 系列 MSO 提供为期 1 年的永久旗舰版套件更新
第 3 步
- 选择所需的模拟通道带宽,配置示波器
- 选择串行分析选项,进而选择当前所需的带宽。您可以购买升级选项,以后再升级。
带宽选件 带宽 5-BW-350 350 MHz 5-BW-500 500 MHz 5-BW-1000 1 GHz 5-BW-2000 2 GHz
第 4 步
- 增加仪器功能
仪器功能可以在购买仪器时订购,也可以作为升级套件订购。
仪器选项 内置功能 5-RL-125M 将记录长度从 62.5 M 点/通道扩展到 125 M 点/通道 5-RL-250M 将记录长度从 62.5 M 点/通道扩展到 250 M 点/通道 5-RL-500M 将记录长度从 62.5 M 点/通道扩展到 500 M 点/通道 5-WIN 8 添加带有 Microsoft Windows 10 操作系统许可证的可拆卸固态硬盘 5-AFG 增加任意/函数发生器 5-SEC 910 增加增强安全功能,支持仪器解密及使用密码启用和禁用所有 USB端口和固件升级。
第 5 步
- 增加选配协议触发、解码和搜索功能
- 通过从这些分析选项中进行选择,选出您当前所需的协议支持。您可在以后再购买升级套件来进行升级。
仪器选项 支持的协议 5-RFNFC ISO/IEC 15693 和 ISO/IEC 14443A(仅限解码和搜索) 5-SRAERO Aerospace(MIL-STD-1553,ARINC 429) 5-SRAUDIO 音频(I2S、LJ、RJ、TDM) 5-SRAUTO 汽车(CAN、CAN FD、LIN、FlexRay 和 CAN 符号解码) 5-SRAUTOEN1 100BASE-T1 汽车以太网串行分析 5-SRAUTOSEN 汽车传感器 (SENT) 5-SRCOMP 计算机 (RS-232/422/485/UART) 5-SRCPHY MIPI C-PHY Vx.x(仅限 DSI-2、CSI-2 解码和搜索) 5-SRCXPI CXPI(仅限解码和搜索) 5-SRDPHY MIPI D-PHY(仅限 DSI-1、CSI-2 解码和搜索) 5-SREMBD 嵌入式(I2C、SPI) 5-SRENET 以太网(10BASE-T、100BASE-TX) 5-SRESPI eSPI(仅限解码和搜索) 5-SRETHERCAT EtherCAT(仅限解码和搜索) 5-SR8B10B 8B/10B(仅限解码和搜索) 5-SRI3C MIPI I3C 5-SRMANCH 曼彻斯特(仅限解码和搜索) 5-SRMDIO MDIO(仅限解码和搜索) 5-SRNRZ NRZ(仅限解码和搜索) 5-SRONEWIRE 单线(仅限 1-Wire 解码和搜索) 5-SRPM 电源管理 (SPMI) 5-SRPSI5 PSI5(仅限解码和搜索) 5-SRSDLC 同步数据链路控制协议解码和搜索 5-SRSMBUS SMBus(仅限解码和搜索) 5-SRSPACEWIRE Spacewire(仅限解码和搜索) 5-SRSVID SVID 5-SRUSB2 USB(USB2.0 LS、FS、HS)11 5-SREUSB2 eUSB2.0(仅限解码和搜索) 差分串行总线?请务必检查差分探头的增加模拟探头和转接头步骤。
- 添加第三方串行总线解码和分析功能
- 第三方应用可用,提供在 5 系列 MSO 上使用的串行总线解码和分析功能。使用第三方软件应用需要 Windows 10 SSD(选项 5-WIN)。
- 有关其他信息,请参阅 https://prodigytechno.com/oscilloscope-based-protocol-decode-software/
第 6 步
- 增加选配串行总线一致性测试
从这些选项中进行选择,进而选择当前所需的串行一致性测试包。您可在以后再购买升级套件来进行升级。下表中的所有选项都需要选项 5-WIN(SSD 以及 Microsoft Windows 10 操作系统)。
仪器选项 支持的串行总线 5-CMAUTOEN 汽车以太网(100Base-T1、1000Base-T1)自动化一致性测试解决方案
1000BASE-T1 需要 ≥2 GHz 带宽
5-CMAUTOEN10 汽车以太网(10BASE-T1S 短距离)自动化一致性测试解决方案。 5-AUTOEN-BND 汽车以太网一致性、信号分离、PAM3 分析、100Base-T1 解码软件(需要选项 5-DJA)
5-AUTOEN-SS 汽车以太网信号分离 5-CMAUTOEN10 汽车以太网(10BASE-T1S 短距离)自动化一致性测试解决方案 5-CMINDUEN10 工业以太网(10Base-T1L 长距离)自动化一致性测试解决方案 5-CMENET 以太网自动化一致性测试解决方案 (10BASE-T/100BASE-T/1000BASE-T)。
1000BASE-T 需要 ≥1 GHz 带宽
5-CMENETML 多通道以太网(10Base-T、100Base-T、1000Base-T)自动化一致性测试解决方案 5-CMUSB2 USB2.0 自动化一致性测试解决方案。
需要 TDSUSBF USB 测试夹具
高速 USB 要求 ≥2 GHz 的带宽
第 7 步
- 增加选配分析功能
仪器选项 高级分析 5-DBLVDS TekExpress 自动 LVDS 测试解决方案(需要选项 5-DJA 和 5-WIN)
5-DJA 高级抖动和眼图分析 5 -DPM 数字电源管理 5-DPMBAS 基本数字电源管理 5-IMDA12 逆变器电机驱动器分析 5-IMDA-DQ012 用于逆变器电机驱动器分析的 DQ0 特性(需要选项 5-IMDA) 5-IMDA-MECH12 用于逆变器电机驱动器分析的机械测量(需要选项 5-IMDA) 5-MTM 模板和极限测试 5-PAM3 PAM3 分析(需要选项 5-DJA 和 5-WIN)
5-PS2 1314 电源解决方案套件(5-PWR、THDP0200、TCP0030A、067-1686-xx 相差校正夹具)
5-PS2FRA1314 电源解决方案套件(5-PWR、THDP0200、TCP0030A、两只 TPP0502、067-1686-xx 相差校正夹具)
5-PWR 15 功率测量和分析 5-SV-BW-1 把 Spectrum View 捕获带宽提高到 500 MHz 5-SV-RFVT 频谱视图 RF 与时间光迹、触发、光谱图和 IQ 捕获 5-UDFLT 用户定义过滤器创建工具 5-VID NTSC、PAL 和 SECAM 视频触发
5-WBG-DPT 宽禁带 SiC/GaN 双脉冲测试测量和分析
- 添加矢量信号分析
- SignalVu-PC 是个独立的应用程序,可以在 5 系列 MSO 或单独的 Windows PC 上运行,以提供高级矢量信号分析。要在您的 5 系列 MSO 上运行 SignalVu-PC,需要三个选项。
- 要在仪器上运行该应用程序,需在示波器中安装 Windows SSD (5-WIN)。
- 需在示波器中安装频谱视图射频与时间光迹选项 (5-SV-RFVT),以便能够传输 I/Q 数据。
- 需在 SignalVu-PC 上安装 Connect (CONxx-SVPC) 许可证,以启用该应用程序的基本功能,其中包括超过 16 种 RF 测量和显示。
第 8 步
- 增加数字探头
- 每个 FlexChannel 输入可以配置为 8 条数字通道,您只需把一只 TLP058 逻辑探头连接到一个 FlexChannel 输入上。您可以与仪器一起订购,也可以单独订购 TLP058 探头。
为本台仪器 订购 增加 MSO54 1 ~ 4 只 TLP058 探头 8 ~ 32 条数字通道 MSO56 1 ~ 6 只 TLP058 探头 8 ~ 48 条数字通道 MSO58 1 ~ 8 只 TLP058 探头 8 ~ 64 条数字通道
第 9 步
- 增加模拟探头和转接头
- 增加额外的推荐探头和转接头
推荐探头/转接头 说明 TAP1500 1.5 GHz TekVPI® 有源单端电压探头,±8 V 差分输入电压 TAP2500 2.5 GHz TekVPI® 有源单端电压探头,±4 V 差分输入电压 TAP3500 3.5 GHz TekVPI® 有源单端电压探头,±4 V 差分输入电压 TAP4000 4 GHz TekVPI® 有源单端电压探头,±4 V 差分输入电压 TCP0030A 30 A AC/DC TekVPI® 电流探头,120 MHz 带宽 TCP0020 20 A AC/DC TekVPI® 电流探头,50 MHz 带宽 TCP0030A 30 A AC/DC TekVPI 电流探头,120 MHz 带宽 TCP0150 150 A AC/DC TekVPI® 电流探头,20 MHz 带宽 TRCP0300 30 MHz AC 电流探头,250 mA ~ 300 A TRCP0600 30 MHz AC 电流探头,500 mA ~ 600 A TRCP3000 16 MHz AC 电流探头,500 mA ~ 3000 A TDP0500 500 MHz TekVPI® 差分电压探头,±42 V 差分输入电压 TDP1000 1 GHz TekVPI® 差分电压探头,±42 V 差分输入电压 TDP1500 1.5 GHz TekVPI® 差分电压探头,±8.5 V 差分输入电压 TDP3500 3.5 GHz TekVPI® 差分电压探头,±2 V 差分输入电压 TDP4000 4 GHz TekVPI® 差分电压探头,±2 V 差分输入电压 THDP0100 ±6 kV,100 MHz TekVPI® 高压差分探头 THDP0200 ±1.5 kV,200 MHz TekVPI® 高压差分探头 TMDP0200 ±750 V,200 MHz TekVPI® 高压差分探头 TPR1000 1 GHz,单端 TekVPI® 电源轨探头;包括一个 TPR4KIT 附件套件 TPR4000 4 GHz,单端 TekVPI® 电源轨探头;包括一个 TPR4KIT 附件套件 TIVP02 隔离探头;200 MHz,±5 V 至 ±2500 V,取决于端部;2 米电缆 TIVP02L 隔离探头;200 MHz,±5 V 至 ±2500 V,取决于端部;10 米电缆 TIVP05 隔离探头;500 MHz,±5 V 至 ±2500 V,取决于端部;2 米电缆 TIVP05L 隔离探头;500 MHz,±5 V 至 ±2500 V,取决于端部;10 米电缆 TIVP1 隔离探头;1 GHz,±5 V 至 ±2500 V,取决于端部;2 米电缆 TIVP1L 隔离探头;1 GHz,±5 V 至 ±2500 V,取决于端部;10 米电缆 TPP0502 500 MHz,2X TekVPI® 无源电压探头,12.7 pF 输入电容 TPP0850 2.5 kV、800 MHz,50X TekVPI® 无源高压探头 P6015A 20 kV,75 MHz 高压无源探头 TPA-BNC 16 TekVPI® 到 TekProbe™ BNC 转接头 TEK-DPG TekVPI 相差校正脉冲发生器信号源 067-1686-xx 功率测量相差校正和校准夹具 想要寻找其他探头?查看探头选型工具:www.tek.com/probes。
第 10 步
- 增加附件
- 增加旅行或安装附件
选配附件 说明 HC5 硬质携带箱 RM5 机架安装套件 GPIB 到以太网转接头 直接从 ICS Electronics 订购型号 4865B(GPIB 到以太网到仪器接口)
第 11 步
- 选择电源线选项
电源线选项 说明 A0 北美电源插头(115 V,60 Hz) A1 欧洲通用电源插头(220 V,50 Hz) A2 英国电源插头(240 V,50 Hz) A3 澳大利亚电源插头(240 V,50 Hz) A5 瑞士电源插头(220 V,50 Hz) A6 日本电源插头(100 V,50/60 Hz) A10 中国电源插头 (50 Hz) A11 印度电源插头 (50 Hz) A12 巴西电源插头 (60 Hz) A99 无电源线
第 12 步
- 增加延保服务和校准选项
服务选项 说明 T3 三年全面保护计划,包括维修或更换,含磨损、意外损坏、静电放电 (ESD) 或电力过载 (EOS) 以及预防性维护。包括 5 天周转时间,优先获得客户支持。 R3 标准保修延长至 3 年。涵盖零部件、人工以及国内 2 天发货时间。保证维修时间快于无此服务的客户。所有维修均包括校准和升级。无忧服务,从一个电话开始。 C3 3 年校准服务。包括相应的可溯源校准或功能检验,适用于推荐校准。包括首次校准外加 2 年校准服务 T5 五年全面保护计划,包括维修或更换,含磨损、意外损坏、静电放电 (ESD) 或电力过载 (EOS) 以及预防性维护。包括 5 天周转时间,优先接入客户支持。 R5 标准保修延长至 5 年。涵盖零部件、人工以及国内 2 天发货时间。保证维修时间快于无此服务的客户。所有维修均包括校准和升级。无忧服务,从一个电话开始。 C5 5 年校准服务。包括相应的可溯源校准或功能检验,适用于推荐校准。包括首次校准外加 4 年校准服务
购买后功能升级
- 将来添加功能升级
- 您可以在初始购买后简便地增加功能。节点锁定许可证在单个产品上永久启用可选功能。浮动许可证允许在兼容仪器之间轻松移动启用许可证的选项。
| 升级功能 | 节点锁定许可证升级 | 浮动许可证升级 | 说明 |
|---|---|---|---|
| 增加仪器功能 | SUP5-AFG | SUP5-AFG-FL | 增加任意函数发生器 |
| SUP5-RL-125M | SUP5-RL-125M-FL | 将记录长度从 62.5 Mpts 扩展到 125 Mpts / 通道 | |
| SUP5-RL-250M | SUP5-RL-250M-FL | 将记录长度从 62.5 Mpts 扩展到 250 Mpts / 通道 | |
| SUP5-RL-500M | SUP5-RL-500M-FL | 将记录长度从 62.5 Mpts 扩展到 500 Mpts / 通道 | |
| SUP5-RL-125MT250M | SUP5-RL-125MT250M-FL | 将记录长度从 125 Mpts 扩展到 250 Mpts / 通道 | |
| SUP5-RL-250MT500M | SUP5-RL-250MT500M-FL | 将记录长度从 250 Mpts 扩展到 500 Mpts / 通道 | |
| SUP5-RL-125MT500M | SUP5-RL-125MT500M-FL | 将记录长度从 125 Mpts 扩展到 500 Mpts / 通道 | |
| 增加协议分析 | SUP5-RFNFC | SUP5-RFNFC-FL | ISO/IEC 15693 和 ISO/IEC 14443A(仅限解码和搜索) |
| SUP5-SR8B10B | SUP5-SR8B10B-FL | 8b/10b 串行解码和分析 | |
| SUP5-SRAERO | SUP5-SRAERO-FL | 航空串行触发和分析(MIL-STD-1553,ARINC 429) | |
| SUP5-SRAUDIO | SUP5-SRAUDIO-FL | 音频串行触发和分析(I2S、LJ、RJ、TDM) | |
| SUP5-SRAUTO | SUP5-SRAUTO-FL | 汽车串行触发和分析(CAN、CAN FD、LIN、FlexRay 和 CAN 符号解码) | |
| SUP5-SRAUTOEN1 | SUP5-SRAUTOEN1-FL | 100Base-T1 汽车以太网串行分析 | |
| SUP5-SRAUTOSEN | SUP5-SRAUTOSEN-FL | 汽车传感器串行触发和分析 (SENT) | |
| SUP5-SRCOMP | SUP5-SRCOMP-FL | 计算机串行触发和分析模块 (RS-232/422/485/UART) | |
| SUP5-SRCPHY | SUP5-SRCPHY-FL | MIPI C-PHY 串行分析(DSI-2、CSI-2) | |
| SUP5-SRCXPI | SUP5-SRCXPI-FL | CXPI 串行解码和分析 | |
| SUP5-SRDPHY | SUP5-SRDPHY-FL | MIPI D-PHY(仅限 DSI-1、CSI-2 解码和搜索) | |
| SUP5-SREMBD | SUP5-SREMBD-FL | 嵌入式串行触发和分析(I2C、SPI) | |
| SUP5-SRENET | SUP5-SRENET-FL | 以太网串行触发和分析(10Base-T、100Base-TX) | |
| SUP5-SRESPI | SUP5-SRESPI-FL | eSPI 串行解码和分析 | |
| SUP5-SRETHERCAT | SUP5-SRETHERCAT-FL | EtherCAT 串行解码和分析 | |
| SUP5-SRI3C | SUP5-SRI3C-FL | MIPI I3C 串行触发和分析 | |
| SUP5-SRMANCH | SUP5-SRMANCH-FL | 曼彻斯特(仅限解码和搜索) | |
| SUP5-SRMDIO | SUP5-SRMDIO-FL | 管理数据输入/输出串行解码和分析 | |
| SUP5-SRNRZ | SUP5-SRNRZ-FL | NRZ 串行解码和分析 | |
| SUP5-SRONEWIRE | SUP5-SRONEWIRE-FL | 单线 (1-Wire) 串行解码和分析 | |
| SUP5-SRPM | SUP5-SRPM-FL | 电源管理串行触发和分析 (SPMI) | |
| SUP5-SRPSI5 | SUP5-SRPSI5-FL | PSI5 串行解码和分析 | |
| SUP5-SRSDLC | SUP5-SRSDLC-FL | 同步数据链路控制协议解码和搜索 | |
| SUP5-SRSMBUS | SUP5-SRSMBUS-FL | SMBus 串行解码和分析 | |
| SUP5-SRSPACEWIRE | SUP5-SRSPACEWIRE-FL | Spacewire 串行解码和分析 | |
| SUP5-SRSVID | SUP5-SRSVID-FL | 串行电压识别 (SVID) 串行触发和分析 | |
| SUP5-SRUSB2 | SUP5-SRUSB2-FL | USB 2.0 串行总线触发和分析(LS、FS 和 HS) | |
| SUP5-SREUSB2 | SUP5-SREUSB2-FL | 嵌入式 USB2 (eUSB2) 串行解码和分析 | |
| 增加串行一致性分析 所有串行一致性产品均需要选项 5-WIN(使用 Microsoft Windows 10 操作系统的固态硬盘) | SUP5-AUTOEN-BND | 不适用 | 汽车以太网一致性、信号分离、PAM3 分析(需要选项 5-DJA)、100BASE-T1 串行解码 |
| SUP5-AUTOEN-SS | SUP5-AUTOEN-SS-FL | 汽车以太网信号分离 | |
| SUP5-CMAUTOEN | SUP5-CMAUTOEN-FL | 汽车以太网自动化一致性测试解决方案(100BASE-T1 和 1000BASE-T1) 1000BASE-T1 测试需要 ≥2 GHz 带宽 | |
| SUP5-CMAUTOEN10 | SUP5-CMAUTOEN10-FL | 汽车以太网(10BASE-T1S 短距离)自动化一致性测试解决方案 | |
| SUP5-CMENET | SUP5-CMENET-FL | 以太网自动化一致性测试解决方案 (10BASE-T/100BASE-T/ 1000BASE-T)。 1000BASE-T1 测试需要 ≥1 GHz 带宽 | |
| SUP5-CMENETML | SUP5-CMENETML-FL | 多通道以太网自动化一致性测试解决方案 (10Base-T、100Base-T、1000Base-T)(需要选项 5- CMENET) | |
| SUP5-CMINDUEN10 | SUP5-CMINDUEN10-FL | 工业以太网(10Base-T1L 长距离)自动化一致性测试解决方案 | |
| SUP5-CMUSB2 | SUP5-CMUSB2-FL | USB2.0 自动化一致性测试解决方案。 需要 TDSUSBF USB 测试夹具 需要 ≥2 GHz 带宽进行高速 USB 测试 | |
| 增加高级分析 | SUP5-DBLVDS | SUP5-DBLVDS-FL | LVDS 调试和分析(需要选项 5-DJA 和 5-WIN) |
| SUP5-DJA | SUP5-DJA-FL | 高级抖动和眼图分析 | |
| SUP5-DPM | SUP5-DPM-FL | 数字电源管理 | |
| SUP5-IMDA17 | SUP5-IMDA-FL17 | 逆变器电机驱动器分析 | |
| SUP5-IMDA-DQ017 | SUP5-IMDA-DQ0-FL17 | 用于逆变器电机驱动器分析的 DQ0 特性(需要选项 5-IMDA) | |
| SUP5-IMDA-MECH17 | SUP5-IMDA-MECH-FL17 | 用于逆变器电机驱动器分析的机械测量(需要选项 5-IMDA) | |
| SUP5-MTM | SUP5-MTM-FL | 模板和极限测试 | |
| SUP5-PAM3 | SUP5-PAM3-FL | PAM3 分析(需要选项 5-DJA) | |
| SUP5-PWR | SUP5-PWR-FL | 高级功率测量和分析 | |
| SUP5-PS2 | 不适用 | 电源解决方案套件(5-PWR、THDP0200、TCP0030A、067-1686-XX 相差校正夹具) | |
| SUP5-DPMBAS | SUP5-DPMBAS-FL | 基本数字电源管理 | |
| SUP5-SV-BW-1 | SUP5-SV-BW-1-FL | 把 Spectrum View 捕获带宽提高到 500 MHz | |
| SUP5-SV-RFVT | SUP5-SV-RFVT-FL | 频谱视图 RF 与时间光迹、触发、光谱图和 IQ 捕获 | |
| SUP5-UDFLT | SUP5-UDFLT-FL | 用户定义过滤器创建工具 | |
| SUP5-VID | SUP5-VID-FL | NTSC、PAL 和 SECAM 视频触发 | |
| SUP5-WBG-DPT | SUP5-WBG-DPT-FL | 宽禁带 SiC/GaN 双脉冲测试测量和分析 | |
| 增加数字电压表 | 不适用 | 不适用 | 增加数字电压表/触发频率计数器 (在 www.tek.com/register5mso 上进行产品注册后免费提供) |
| 升级功能 | 升级 | 必选项 | 说明 |
|---|---|---|---|
| 添加 Windows 10 操作系统 | SUP5-WIN | I4400E | 使用 Windows 10 操作系统的可移动 SSD;兼容英特尔 i5-i4400E 处理器 |
| I8400H | 使用 Windows 10 操作系统的可移动 SSD;兼容英特尔 i5-i8400H 处理器 |
购买后升级带宽
- 将来添加带宽升级
- 您可以在首次购买后简便地升级产品的模拟带宽。带宽升级根据 FlexChannel 输入数量、当前带宽和所需带宽的组合来购买。
通过安装软件许可证和新的前面板标签,可以在现场升级高达 1 GHz 的带宽。升级至 2 GHz 需要在米乐m6网页版登录入口授权服务中心进行安装和校准。
从 350 MHz 或 500 MHz 到 1 GHz 或 2 GHz 的带宽升级还包括每个仪器通道一个 TPP1000 1 GHz 无源探头。
| 持有的示波器型号 | 带宽升级产品 | 升级选项 | 升级选项说明 |
|---|---|---|---|
| MSO54 | SUP5-BW4 | 5-BW3T5-4 | 许可证;5 系列 MSO 带宽升级;将 (4) FlexChannel 型号上的带宽从 350 MHz 升级至 500 MHz;节点锁定 |
| SUP5-BW4 | 5-BW3T10-4 | 许可证;5 系列 MSO 带宽升级;将 (4) FlexChannel 型号上的带宽从 350 MHz 升级至 1 GHz;节点锁定 | |
| SUP5-BW4 | 5-BW5T10-4 | 许可证;5 系列 MSO 带宽升级;将 (4) FlexChannel 型号上的带宽从 500 MHz 升级至 1 GHz;节点锁定 | |
| SUP5-BW10T204 | 带宽升级;在 5 系列示波器的 (4) 个FlexChannel 型号上从 1 GHz 升到 2 GHz | ||
| SUP5-BW3T204 | 带宽升级;在 5 系列示波器的 (4) 个FlexChannel 型号上从 350 MHz 升到 2 GHz | ||
| SUP5-BW5T204 | 带宽升级;在 5 系列示波器的 (4) 个FlexChannel 型号上从 500 MHz 升到 2 GHz | ||
| MSO56 | SUP5-BW6 | 5-BW3T5-6 | 许可证;5 系列 MSO 带宽升级;将 (6) FlexChannel 型号上的带宽从 350 MHz 升级至 500 MHz;节点锁定 |
| SUP5-BW6 | 5-BW3T10-6 | 许可证;5 系列 MSO 带宽升级;将 (6) FlexChannel 型号上的带宽从 350 MHz 升级至 1 GHz;节点锁定 | |
| SUP5-BW6 | 5-BW5T10-6 | 许可证;5 系列 MSO 带宽升级;将 (6) FlexChannel 型号上的带宽从 500 MHz 升级至 1 GHz;节点锁定 | |
| SUP5-BW10T206 | 带宽升级;在 5 系列示波器的 (6) 个FlexChannel 型号上从 1 GHz 升到 2 GHz | ||
| SUP5-BW3T206 | 带宽升级;在 5 系列示波器的 (6) 个FlexChannel 型号上从 350 MHz 升到 2 GHz | ||
| SUP5-BW5T206 | 带宽升级;在 5 系列示波器的 (6) 个FlexChannel 型号上从 500 MHz 升到 2 GHz | ||
| MSO58 | SUP5-BW8 | 5-BW3T5-8 | 许可证;5 系列 MSO 带宽升级;将 (8) FlexChannel 型号上的带宽从 350 MHz 升级至 500 MHz;节点锁定 |
| SUP5-BW8 | 5-BW3T10-8 | 许可证;5 系列 MSO 带宽升级;将 (8) FlexChannel 型号上的带宽从 350 MHz 升级至 1 GHz;节点锁定 | |
| SUP5-BW8 | 5-BW5T10-8 | 许可证;5 系列 MSO 带宽升级;将 (8) FlexChannel 型号上的带宽从 500 MHz 升级至 1 GHz;节点锁定 | |
| SUP5-BW10T208 | 带宽升级;在 5 系列示波器的 (8) 个FlexChannel 型号上从 1 GHz 升到 2 GHz | ||
| SUP5-BW3T208 | 带宽升级;在 5 系列示波器的 (8) 个FlexChannel 型号上从 350 MHz 升到 2 GHz | ||
| SUP5-BW5T208 | 带宽升级;在 5 系列示波器的 (8) 个FlexChannel 型号上从 500 MHz 升到 2 GHz | ||


